2022年上海高考一分一段表预测
推荐文章
高考志愿填报也要掌握一定技巧,一分一段表是各位同学很客观的参考数据,那是必不可少的,同时下面给大家分享关于2022年上海高考一分一段表预测出炉,欢迎阅读!
2022上海高考一分一段表
由于2022年上海高考一分一段表还未正式公布,下面给大家整理了往年的一分一段分数仅供参考,希望可以帮到各位伙伴!
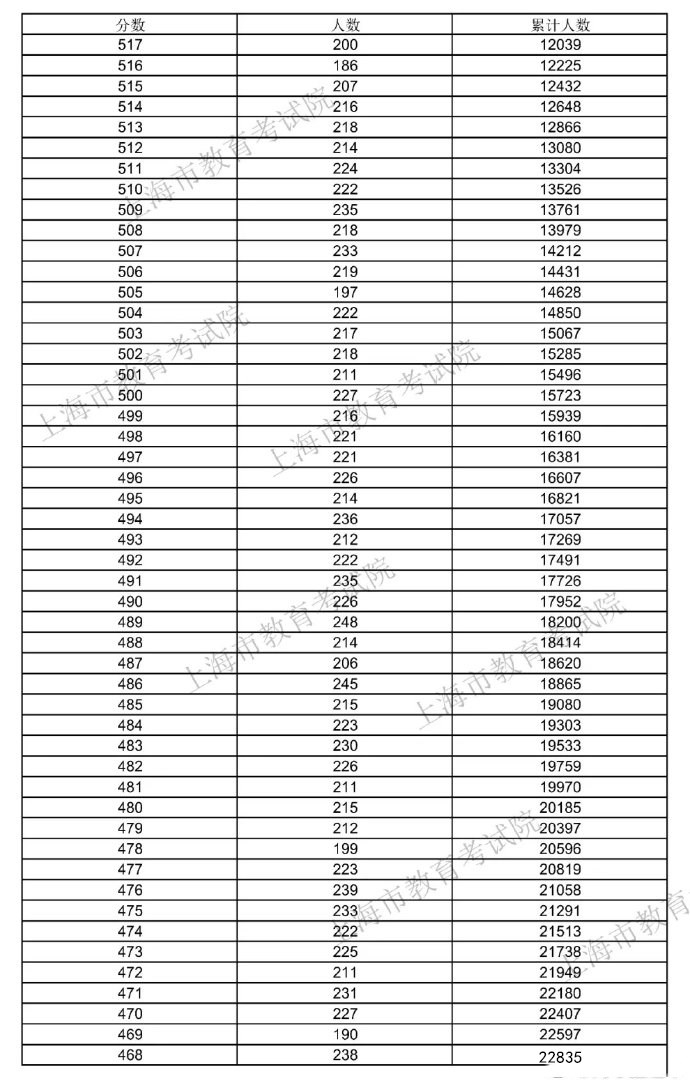
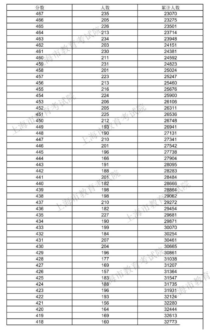
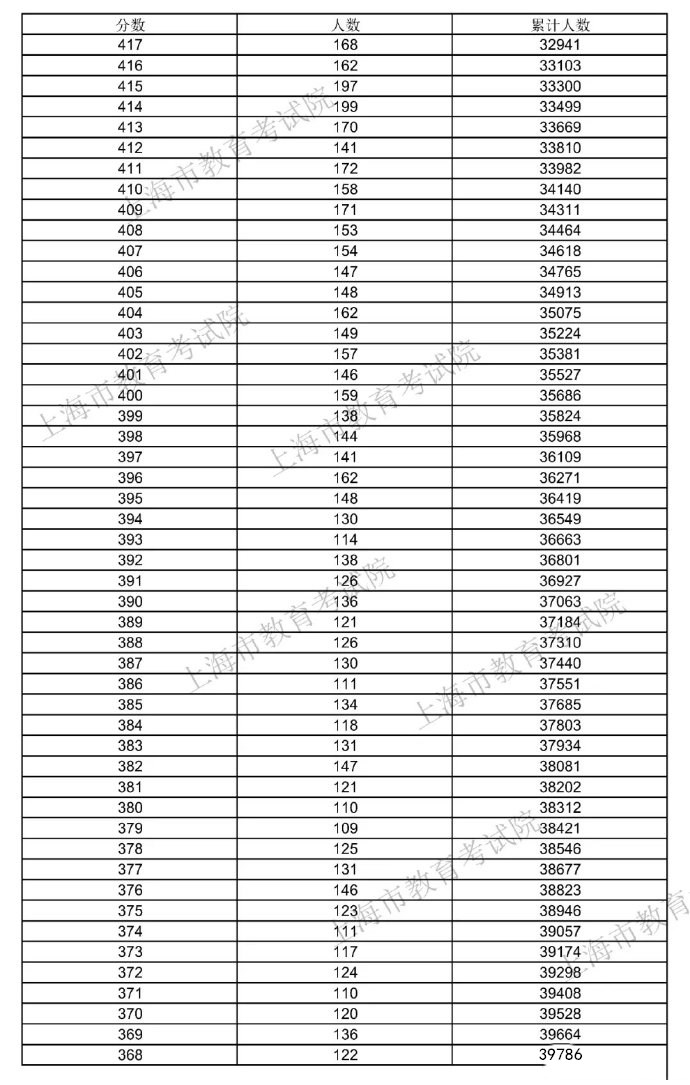
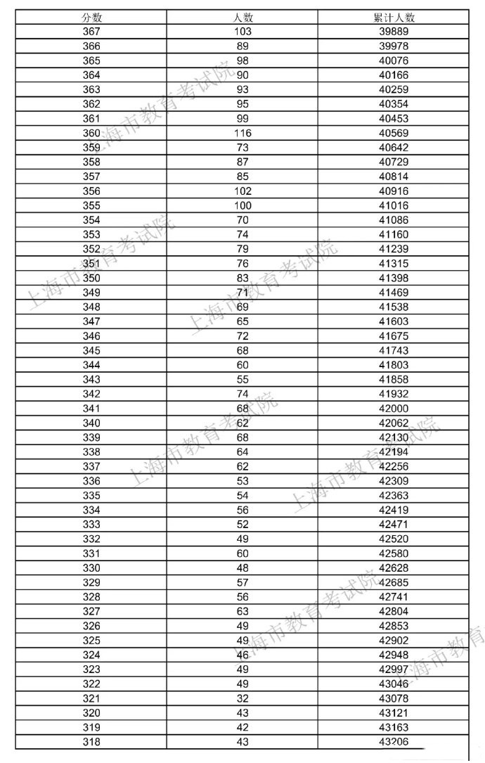
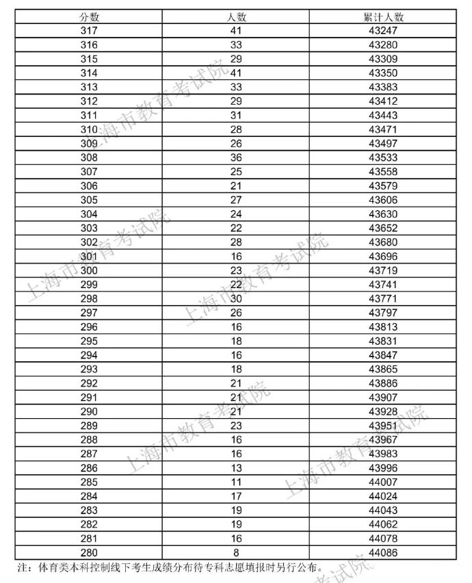
2021年上海高考一分一段表汇总







2022高考志愿填报技巧
1、合理组合院校志愿。不宜全部填报高分段院校,也不必全部填报低分段院校。考生可以根据自己高考成绩、个人兴趣爱好、身体条件等因素,在有可能被录取的院校范围中,合理、有序组合院校志愿。一般来说,平行志愿填报按照“冲一冲、稳一稳、保一保”原则。
冲一冲:把有希望够得着的理想学校作为A志愿;
稳一稳:把与自己成绩“门当户对”的学校作为B志愿;
保一保:把比自己成绩稍低点的学校作为C志愿。
不过,要注意的是,“冲一冲”要慎重,要有一定把握,而不是盲目乱冲,当然其中一个乱冲也无妨。
同时各志愿间要拉开梯度,如果考生定位不准确,一味追求最理想的高校,志愿填报过高(比如多个平行院校志愿之间没有拉开梯度),就可能导致所填报的几个院校志愿全部落空。
2、要将最想上的院校填报在平行志愿的前列。由于平行院校志愿是有先后顺序的,当考生填报的平行院校志愿中,有2所以上符合投档条件时,计算机系统会将考生电子档案投档到排序在前的院校。因此,考生要将最想上的院校填在平行志愿的前列。
同时填报的专业志愿不要过少。如果考生只报考某些院校的一两个专业,当考生档案被投档到招生院校后,就有可能因总分或相关科目成绩偏低、不服从院校专业调剂、身体条件受限等原因,面临投档后被退档的风险。
3、要积极慎重选择“专业是否服从调剂”。平行志愿投档录取中,如考生因专业不服从调剂被退档,只能参加征集志愿或下一批次的录取。因此,如选择服从专业调剂,会增加被院校录取的机率,但也有可能会被调剂到不满意的专业。考生要根据自身实际,具体情况具体分析来选择专业是否服从调剂。
我们建议专业“服从调剂”,目前普遍来说毕业后学校比专业更重要些,而且冲一冲的好学校基本上也很难被自己喜欢的专业录取,如果不服从调剂,退档后,只能等征集志愿和下一批次了,那就是一本分上二本学校,上不了一批还是可以被二批院校录取的。
如果非某一专业不上,选择不服从调剂的话,建议A志愿就填自己分数够,而且专业分也足够被录取的院校,要不然退档跟上面一样就只能等征集志愿或下一批次。
至于征集志愿,不说100%就是不好学校,也有少数征集上了好学校,但是基本上都是自己不愿意去的学校,一般也不会有你喜欢的专业,基本都是被调剂。
