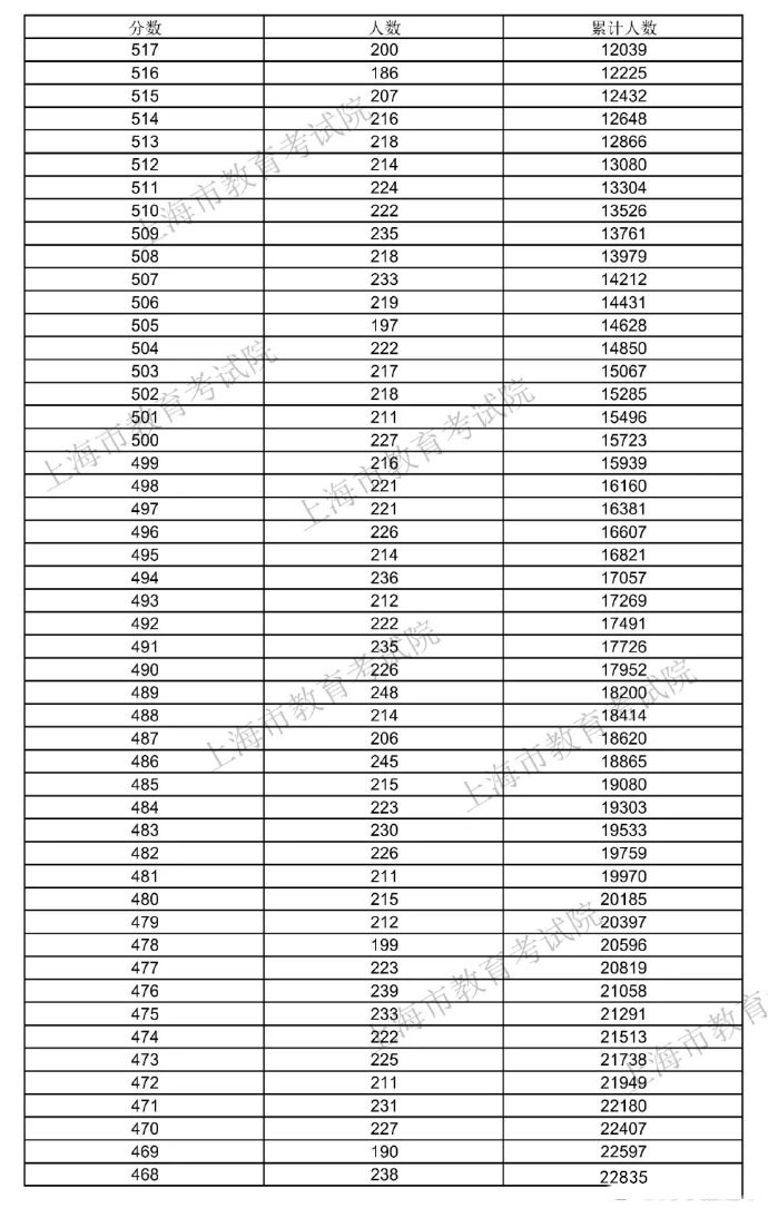
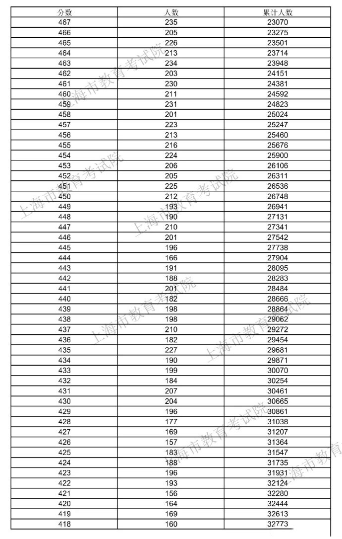
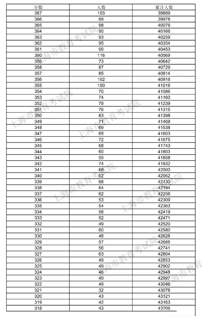
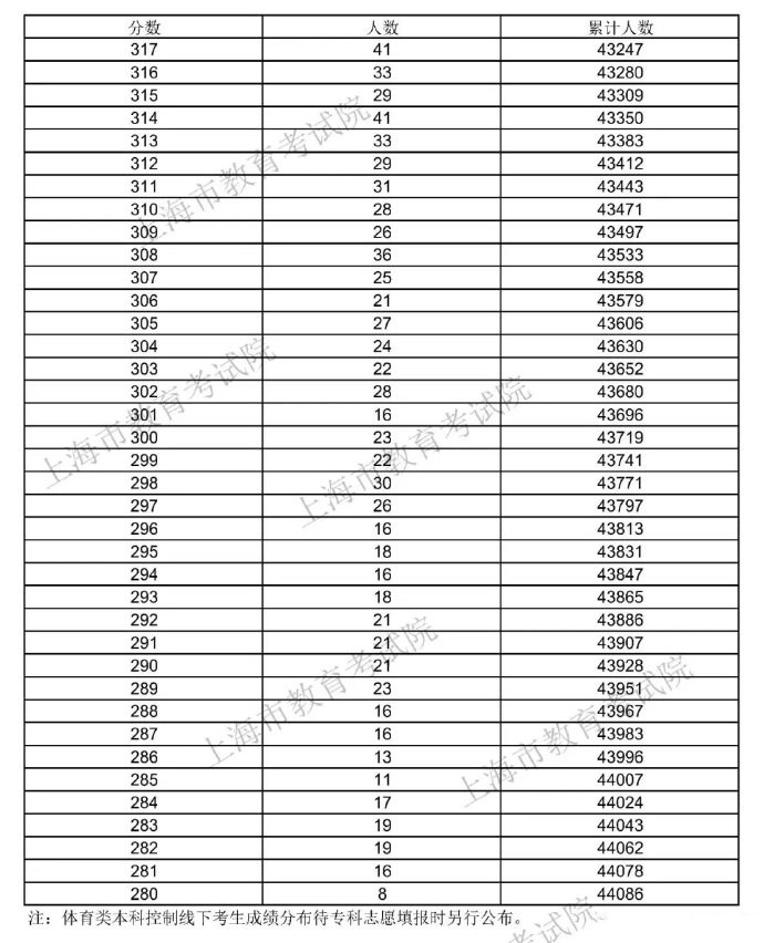
2021年上海高考一分一段位次表出炉
一分一段能让你计算出自己的排位。目前的段表,是将全省同科类考生的档案分(考生总分+政策加分)从高到低排列(分数相同的则为并列)。下面是小编整理的2021年上海高考一分一段位次表出炉_2021年上海一分一档查询档案,仅供参考,希望能够帮助到大家。

2021年上海高考一分一段位次表出炉







2021年上海市普通高等学校招生统一文化考试成绩即将公布
请考生注意以下时间安排:
一、网上成绩查询
6月23日(星期三)18:00至7月1日(星期四)12:00,考生可登录上海市教育考试院“上海招考热线”网站(www.shmeea.edu.cn)“成绩查询”栏目或东方网(www.eastday.com)、“一网通办”PC端(zwdt.sh.gov.cn)、“随申办”移动端,输入本人9位高考准考证号和密码(考生本人身份证最后不含字母的六位数字)查询统一文化考试成绩。
网上可查询到的科目成绩为语文、数学、外语(6月份)以及附加分。
二、成绩通知单投送
6月24日(星期四)起,考生成绩通知单将由中国邮政速递物流股份有限公司上海市分公司(EMS)按照考生高考报名表上填写的本市通讯地址投递到考生家中。
考生成绩通知单提供以下内容:语文、数学、外语(1月份、6月份)科目成绩;考生选考的3门等级考等级及对应分值成绩;总分和附加分。
考生可于6月24日上午8:00后,通过中国邮政速递物流官网(www.ems.com.cn)查询成绩通知单投送情况(具体操作办法如下:点击进入高考成绩通知单界面查询,输入本人准考证号及相关验证码,即可搜索到考生本人成绩通知单的邮件号及邮件投送情况)。成绩通知单经二次投递后仍未收到的考生可拨打查询电话:021-52609738(查询时间:6月24日-25日每天8:30-17:00)。6月28日中午12:00后,仍未妥投的高考成绩单全部退回上海市教育考试院(地址:杨浦区民星路465号)。
三、成绩复核
生若对本人成绩有疑问,可在6月24日(星期四)9:00至16:00,登录上海市教育考试院“上海招考热线”网站(www.shmeea.edu.cn)“成绩查询”栏目申请成绩复核。成绩复核科目为语文、数学、外语(6月份),具体操作办法如下:
1.考生使用本人9位高考准考证号作为用户名登录成绩复核系统,初始密码为考生本人身份证最后不含字母的六位数字,登录后可以修改密码。
2.登录后需根据系统提示,填写所提示的部分科目成绩以验证身份。
3.身份验证通过后,在申请页面勾选申请复核的科目后点击“提交申请”,看到提示“提交成功”的红色字体即表示申请完毕,退出请点击“退出系统”按钮。
4.考生如需修改勾选信息,可在开通网上申请的时间段内再次登录系统修改科目。复核科目以考生在规定时间内网上提交的最终申请科目为准。
5.考生网上填写完毕后,应退出系统重新登录,查看确认本人申请的复核科目。
6.6月25日12:00起,考生可登录“上海招考热线”网站(www.shmeea.edu.cn)查询成绩复核结果,成绩复核结果查询截止时间为7月1日12:00。
7.成绩复核只核查答题纸姓名、准考证号是否与考生本人对应,试卷有无漏评、漏阅,小题得分是否漏统(登),各小题得分合成后是否与提供给考生的成绩一致等;不重新评阅答卷。复核结果只向考生提供所复核科目的成绩总分。不得查阅答卷。
2021年上海普通高中学业水平等级性考试成绩
2021年上海市普通高中学业水平等级性考试评卷、成绩统计和校核工作已经完成。根据《上海市人民政府印发<关于进一步深化本市高考综合改革试点工作的若干意见>的通知》(沪府发〔2018〕14号)和《上海市教育委员会关于印发<上海市普通高中学业水平考试实施办法>的通知》(沪教委规〔2018〕6号)文件规定,等级性考试成绩以等级呈现,按获得该次考试有效成绩的考生(即缺考或未得分的考生除外)总数的相应比例划分等级,位次由高到低分为A+、A、B+、B、B-、C+、C、C-、D+、D、E共五等11级。
一、成绩查询
考试成绩将于6月10日18:00至7月4日14:00开通查询。考生可访问上海市教育考试院“上海招考热线”网站(www.shmeea.edu.cn),进入首页“成绩查询”栏目,输入本人学业水平考试准考证上的12位报名号[注:非2021年上海市普通高校招生统一文化考试准考证号]和报名时所填考生证件号码最后不含字母的六位数字,查询本人在今年5月8日、9日参加的等级考科目成绩。
查询结果中,“/”表示本次未报考该科目的考试,“Q”表示该科目缺考。考试成绩以收到的成绩单为准。成绩单将于6月下旬发至各区(在校生由所在中学发放,社会考生至报名所在区招办领取)。
二、成绩复核
考生若对自己的成绩有疑问,可于6月11日10:00至6月12日16:00通过上海市教育考试院“上海招考热线”网站(www.shmeea.edu.cn)首页“成绩查询”栏目,申请成绩复核。每位考生只能申请一次成绩复核。成绩复核主要核查成绩处理各环节有无差错。复核结果仅向考生提供所复核科目等级,不重新评卷,不予查阅答卷。
2021年上海高考一分一段位次表出炉相关文章:
