2021年上海高考分数线公布通知
推荐文章
六月清风徐来,随着6月23号起,考生们最关心的高考成绩与高考分数线陆续公布了, 那么2021上海高考分数线是如何的,为了方便大家,一起来了解一下吧!下面给大家分享关于2021年上海高考分数线公布通知及上海高考一分一段分数线,欢迎大家借鉴参考!
2021年上海高考分数线

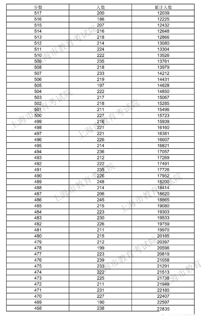
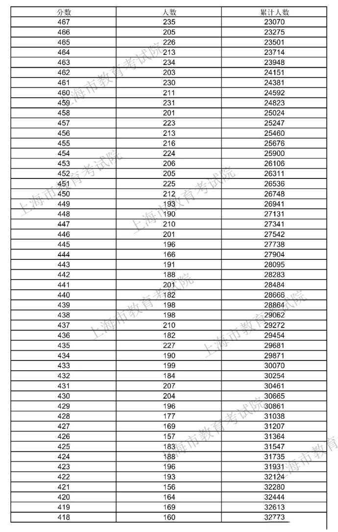
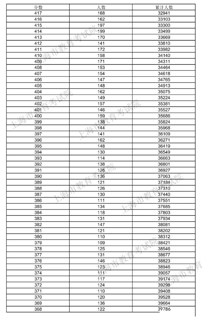
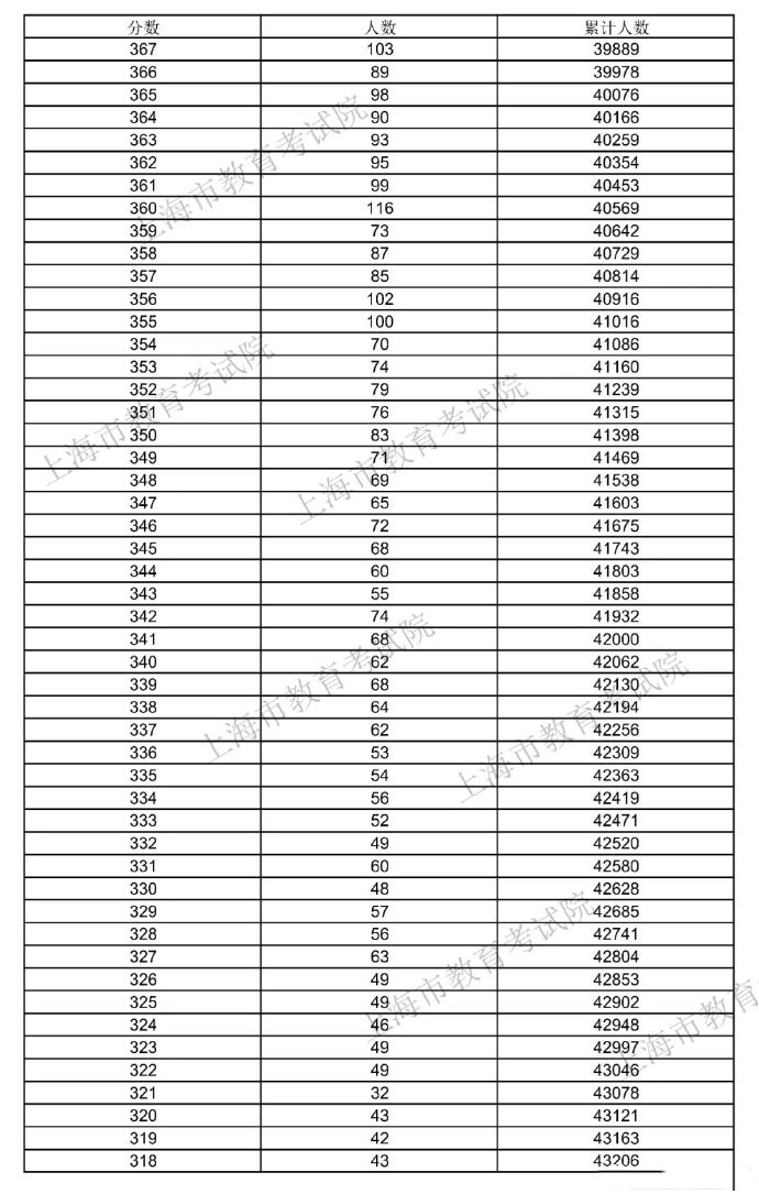
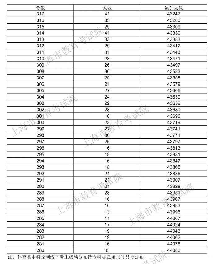
2021年上海一分一段分数线







2021年上海高考成绩6月23日公布
2021年上海市普通高等学校招生统一文化考试成绩即将公布。请考生注意以下时间安排:
一、网上成绩查询
6月23日(星期三)18:00至7月1日(星期四)12:00,考生可登录上海市教育考试院“上海招考热线”网站(www.shmeea.edu.cn)“成绩查询”栏目或东方网(www.eastday.com)、“一网通办”PC端(zwdt.sh.gov.cn)、“随申办”移动端,输入本人9位高考准考证号和密码(考生本人身份证最后不含字母的六位数字)查询统一文化考试成绩。
网上可查询到的科目成绩为语文、数学、外语(6月份)以及附加分。
二、成绩通知单投送
6月24日(星期四)起,考生成绩通知单将由中国邮政速递物流股份有限公司上海市分公司(EMS)按照考生高考报名表上填写的本市通讯地址投递到考生家中。
考生成绩通知单提供以下内容:语文、数学、外语(1月份、6月份)科目成绩;考生选考的3门等级考等级及对应分值成绩;总分和附加分。
考生可于6月24日上午8:00后,通过中国邮政速递物流官网(www.ems.com.cn)查询成绩通知单投送情况(具体操作办法如下:点击进入高考成绩通知单界面查询,输入本人准考证号及相关验证码,即可搜索到考生本人成绩通知单的邮件号及邮件投送情况)。成绩通知单经二次投递后仍未收到的考生可拨打查询电话:021-52609738(查询时间:6月24日-25日每天8:30-17:00)。6月28日中午12:00后,仍未妥投的高考成绩单全部退回上海市教育考试院(地址:杨浦区民星路465号)。
三、成绩复核
生若对本人成绩有疑问,可在6月24日(星期四)9:00至16:00,登录上海市教育考试院“上海招考热线”网站(www.shmeea.edu.cn)“成绩查询”栏目申请成绩复核。成绩复核科目为语文、数学、外语(6月份),具体操作办法如下:
1.考生使用本人9位高考准考证号作为用户名登录成绩复核系统,初始密码为考生本人身份证最后不含字母的六位数字,登录后可以修改密码。
2.登录后需根据系统提示,填写所提示的部分科目成绩以验证身份。
3.身份验证通过后,在申请页面勾选申请复核的科目后点击“提交申请”,看到提示“提交成功”的红色字体即表示申请完毕,退出请点击“退出系统”按钮。
4.考生如需修改勾选信息,可在开通网上申请的时间段内再次登录系统修改科目。复核科目以考生在规定时间内网上提交的最终申请科目为准。
5.考生网上填写完毕后,应退出系统重新登录,查看确认本人申请的复核科目。
6.6月25日12:00起,考生可登录“上海招考热线”网站(www.shmeea.edu.cn)查询成绩复核结果,成绩复核结果查询截止时间为7月1日12:00。
7.成绩复核只核查答题纸姓名、准考证号是否与考生本人对应,试卷有无漏评、漏阅,小题得分是否漏统(登),各小题得分合成后是否与提供给考生的成绩一致等;不重新评阅答卷。复核结果只向考生提供所复核科目的成绩总分。不得查阅答卷。
上海市2021年普通高等学校招生志愿填报
本市2021年普通高等学校招生录取分为本科、高职(专科)两个阶段。
一、本科阶段
本科阶段实行“两依据一参考”的招生模式。高校将考生高考成绩作为本科录取时的基本依据,同时参考高中学生综合素质评价信息。考生高考成绩由语文、数学、外语3门统一高考科目成绩和学生自主选择的3门普通高中学业水平等级性考试科目成绩构成。考生如获政策性加分,则计入高考成绩,但不得用于高校不安排分省招生计划的艺术类专业、高水平艺术团、高水平运动队等招生项目。高中学生综合素质评价信息的具体使用办法由各校在招生章程中予以明确。
本科阶段以院校专业组方式开展招生。院校专业组由高校根据人才培养需要和不同专业(或大类。以下统一简称为“专业”)的科目要求设置,是本科志愿填报与投档录取的基本单位。一所高校可设置一个或多个院校专业组,每个院校专业组内可包含数量不等的专业。同一高校科目要求相同的专业可分设在不同的院校专业组中。同一院校专业组内各专业的科目要求须相同。
(一)招生计划编制
高校按院校专业组方式编制在沪本科计划。高校在沪公布计划须具体编制到各院校专业组,院校专业组的计划原则上须具体编制到组内各专业。同一高校的不同院校专业组编制计划因报考生源不同,相互之间不能调剂使用。
(二)招生批次设置
本科招生批次按录取顺序分为:①综合评价批次;②零志愿批次;③本科提前批次或本科艺体类批次;④地方农村专项计划批次;⑤本科普通批次。
按照教育部有关规定,在各批次招生开展前完成强基计划招生;本科普通批次投档前完成特殊类型招生。
本科艺体类批次内分甲、乙两个批次,各设顺序段和平行段。甲批次顺序段一般为教育部批准的独立设置本科艺术院校和参照独立设置本科艺术院校(专业),平行段一般为使用专业统考成绩招生的高校;乙批次顺序段为除独立设置本科艺术院校和参照独立设置本科艺术院校外,其他经教育部批准允许使用专业校考成绩招生的高校及部分使用专业统考成绩仍按顺序志愿方式招生的高校;乙批次平行段一般为本科艺体类甲批次平行段的征求志愿高校。
(三)志愿设置与填报方式
1.志愿填报单位
本科志愿以院校专业组为单位,一个院校专业组即为一个独立的志愿。
2.志愿填报数量与志愿性质
(1)综合评价批次设置4个平行志愿。
(2)零志愿批次设置3个平行志愿。
(3)本科提前批次设置4个顺序志愿。
(4)本科艺体类设置甲、乙两个批次,各设1个顺序段志愿和10个平行段志愿。
(5)地方农村专项计划批次设置4个顺序志愿。
(6)高水平艺术团、高水平运动队等特殊类型招生针对零志愿批次设置1个志愿,针对本科普通批次设置3个平行志愿。
(7)本科普通批次设置24个平行志愿。
考生填报志愿时,可以填满各批次所有可填志愿,也可以只选择填报部分志愿。
3.志愿填报时间
所有本科志愿均在统一高考科目成绩公布后填报。具体填报日期另行公布。
4.选考科目要求
考生应根据本人实际情况,结合兴趣、爱好,合理选择各批次具备填报资格的志愿。填报时应仔细阅读相关高校的招生章程规定,须对照院校专业组的科目要求填报志愿。
考生的选考科目与拟报院校专业组的科目要求相符时,才具有填报该院校专业组志愿的资格。当院校专业组科目要求为“或”的关系时,考生选考科目中只要有1门与其相符,即具填报资格;当院校专业组科目要求为“和”的关系时,考生选考科目须包含其要求的全部科目,方具填报资格。对于不限科目要求的院校专业组,考生在填报时无科目限制。
5.各批次志愿填报要求
填报综合评价批次志愿的考生须在初报名的公示合格名单中,且高考成绩达到本市统一划定的特殊类型招生控制分数线。
部分本科提前批次招生高校及专业对体检、面试、政审等有相关报考要求,考生须比对拟报高校要求,符合资格者方可填报。2021年起,在本市招收民航飞行技术专业的高校相关专业归并为一个院校专业组,组内各专业志愿按分数优先方式完成录取。
填报本科艺体类批次志愿的考生一般须高考成绩达到艺体类本科文化控制线(2021年起,本市艺术类本科文化控制线为本科录取控制分数线的75%,体育类本科文化控制线为本科录取控制分数线的70%);专业成绩须统考或校考合格。高校另有规定的,按其规定执行。
本科提前批次志愿和本科艺体类批次志愿不得兼报。
填报地方农村专项计划批次志愿的考生须达到本科录取控制分数线,且具有本市农村户籍。
填报特殊类型招生志愿的考生须符合拟报高校给予的特殊类型招生优惠资格,且公示无异议。
填报本科普通批次志愿的考生须达到本科录取控制分数线。
6.征求志愿
本科艺体类甲批次和本科普通批次设征求志愿,其他批次不设征求志愿。
本科艺体类甲批次的征求志愿含在本科艺体类乙批次中,在本科艺体类甲批次录取完毕后填报,未被甲批次录取的艺体类合格考生具有填报资格。
本科普通批次录取完毕后开展两次征求志愿。高考成绩达到本科录取控制分数线的未被录取考生具有填报第一次本科征求志愿的资格;第二次征求志愿实行降分录取政策,是否同意降分由高校自主决定,高考成绩满足本科降分要求的所有未被录取考生具有填报第二次本科征求志愿的资格。
7.专业志愿设置
每个院校专业组志愿内设4个专业志愿。考生在每个院校专业组志愿中均须选择愿否服从专业志愿调剂。
2021年上海高考分数线公布通知相关文章:
