2022年上海高考一分一段表
一分一段表是根据考生考分(含各类照顾加分)从高到低排序,以一分为一段,制成考生投档分的“一分段表”。下面是小编给大家带来的2022年上海高考一分一段表公布,以供大家参考!

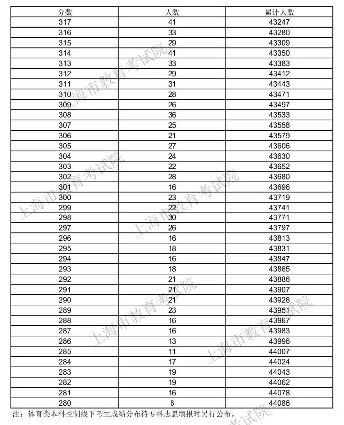
2022年上海高考一分一段表
由于2022高考总成绩一分一段还未公布。各位同学可以先参考2021年的高考总成绩一分一段呢。
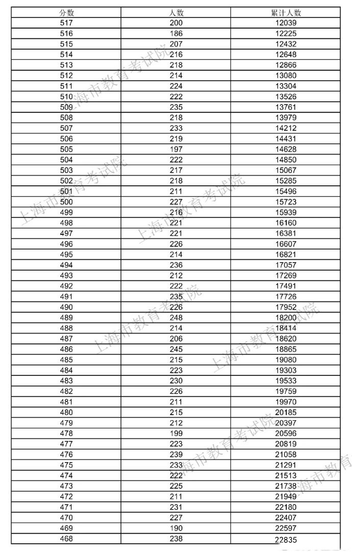
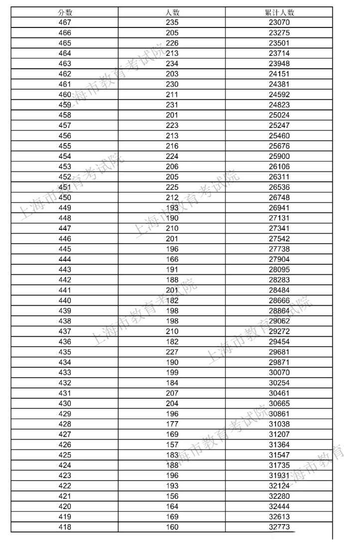
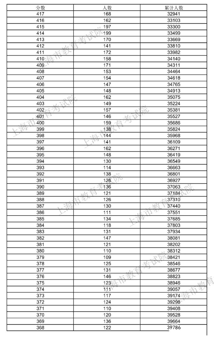
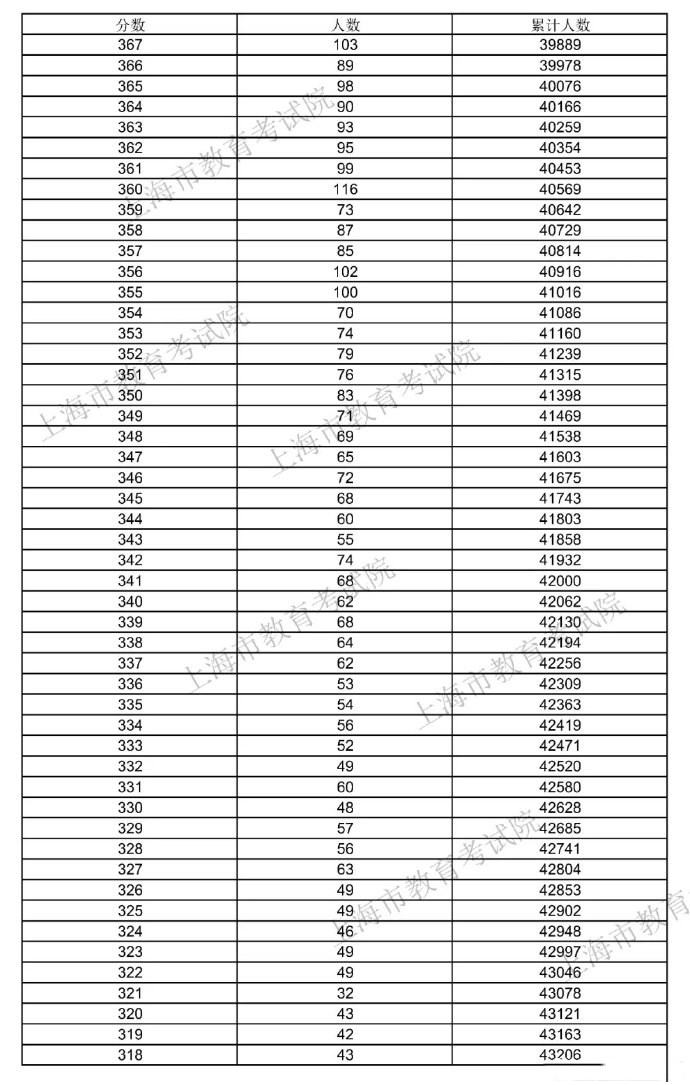
2021年上海高考一分一段表







一分一段表的重要作用
一分一段表在高考志愿填报中有着定盘星的作用,主要体现在以下四个方面:
1.划定各批次的省控线。省控线是按照各批次招生计划的总数综合考虑各种因素扩大一定比例后根据分段统计表确定的。
2.确定考生的位置。根据统计表能快速地查找出自己所在的位次区间,同分段有多少个考生,能较为准确地对自己定位。
3.评估目标院校范围。根据今年的位次,修正后可以进一步缩小目标院校范围。
4.印证所选目标院校中意专业。确定你是否在此专业的平均排位之上,如果你超过平均排位,则被录取的可能比较大。
一分一段表的使用方法
1.了解自己。填报志愿最关键的第一步,是在“一分一段表”中查找与自己成绩相对应的分数排名,以及这一位次的成绩共有多少考生,以此来确定个人成绩在全省市的位置。一定要参照最近三年的同分数一分一段位次,结合往年情况综合评估自己的成绩处于什么水平。
2.评估学校。查一下自己的目标院校在近三年的录取分数是多少,该院校近三年的录取分数对应当年“一分一段表”中的位置,同时,留意该院校在近年的招生人数的变化,参照今年的招生计划人数,综合判断自己今年的位置是否能够被目标院校录取。
3.综合评判。将上面两个情况判断清楚后,结合目标院校及录取分数相近院校在近年的招生人数的变化,参照今年目标院校和录取分数相近院校的招生计划人数,综合判断自己今年被目标院校录取的可能性。
如何用好“一分一段表”
了解自己:计算出你的全省排名,结合同等梯度的高校招生计划总数,弄清自己所处的位置。
考生在“知分、知线、知位”的情况下填报志愿,一分一段表是很客观的参考数据。考生一定要认真分析,清楚自己的排位,从而正确填报学校。
尤其是高分段的考生,更要好好地研究排名,排名在某种程度上决定了你能去哪所大学、学习什么样的专业。
用好“一分一段表”,在填报志愿时,首先参考自己在全省的排名,再看想选报学校的招生计划,最好是计算一下同等梯度的高校在本省招生计划的总和,结合自己的排名,从而较好地选报志愿。
无论本省考生是多少,全国高校的招生量就那么多。“按照名次,比如一本假设招4000人,我现在排名3800名,我应该能在一本里找到合适的学校”。
