上海2022年高考一分一段位次表出炉
推荐文章
一分一段表是高考成绩公布后,各省、直辖市、自治区统计的,以1分为递进单位的,每一分段人数以及每一分段以上的累计人数。下面是小编整理的上海2022年高考一分一段位次表出炉,希望能够帮助到大家。

上海2022年高考一分一段位次表出炉
由于今年上海2022年高考一分一段位次表出炉,公布后会及时更新,请收藏关注。现在参考往年上海2021年高考一分一段!
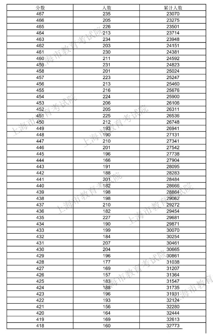
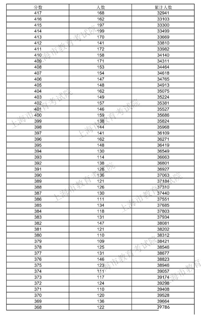
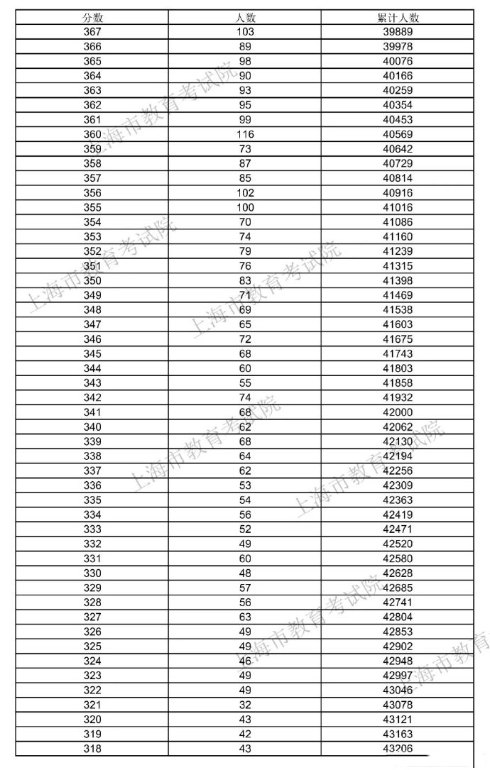
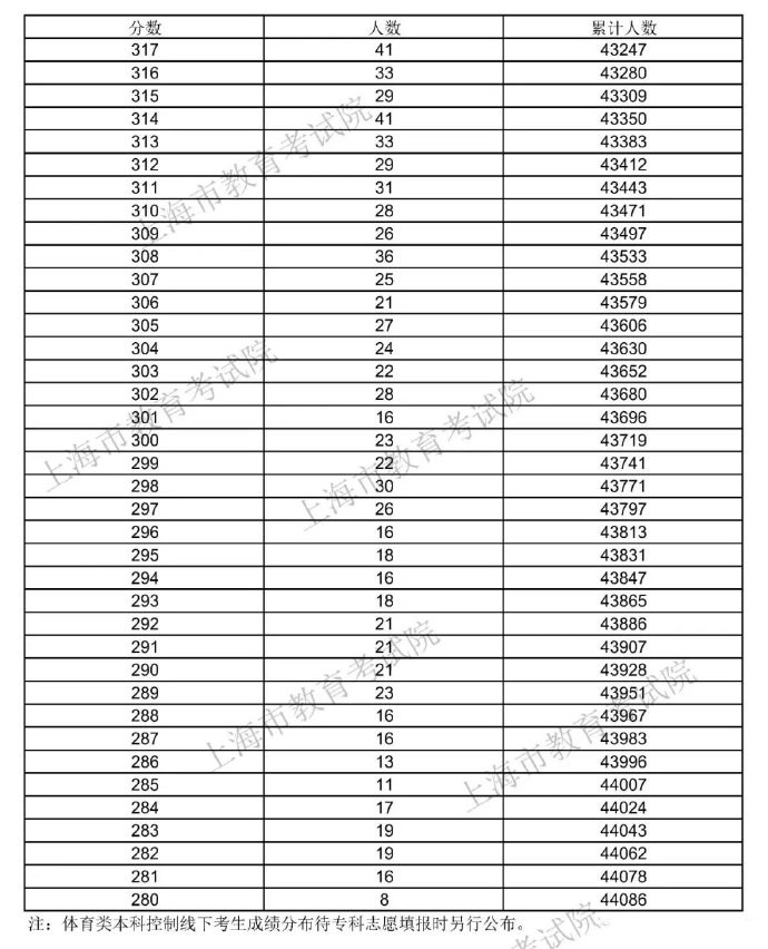
上海2021年高考一分一段







高考一分一段段表查询方法
可以通过所在省的教育考试院官网查询,也可以通过本省考试院官方微信、微博查询,省教育考试院相关系统中会有公布。根据各省教育考试院公布的一分一段表,考生可以确定自己的名次。
一分一段表计算方法是将全省同科类考生的档案分(高考各科成绩+优惠加分)从高到低排列(分数相同的则为并列),再按每1分一段(也有的省份是5分一段,如广东),统计“本段人数”;从本段向上一直到最高分段的所有“本段人数”相加,则为“累计人数”,累计人数也是这一分数考生的最低位次。
高考温馨语录
1、考场归来笑满面,捷报到来绽笑颜。喜气盈门合家欢,再入名校长才干。十年梦想放光芒,锦绣前程伴花香。继续努力扬征帆,长风破浪达彼岸。愿你的未来更加美好。
2、六月鲜花竞相绽,捷报纷纷似花瓣。花香溢人醉心田,鲜花献送状元郎。十年苦读梦实现,名校专业细筛选。求索路上迈新步,博读书海天下闯。愿你大展才华。
3、风儿静静的吹动,凤凰花吐露着嫣红,亲爱的朋友请握一握手,明天就要各奔西东!但不要忘记彼此的约定:高考成功!
4、明天高考啦,以后不用点起床啦,以后可以天天游泳啦,明天是新生活的开始,一定不能愁眉苦脸,今晚做个好梦!
5、高考之际,放松压力。提前进场,以免拥挤。答题技巧,心中默记。仔细读题,后难先易。驱除杂念,循规蹈矩。遭遇难题,冷静梳理。认真检查,多多有益。
6、月寒更觉日暖,分别更恋相聚,在这毕业之时,祝愿你——万事如意,我们的生活充满了阳光和欢笑快乐地跳吧,世界属于我们!
7、你就要高考了,我在百度搜出千百条祝福语,在搜狗找到无数句吉祥话,但我觉得都太俗。我只想真诚地对你说:得心应手高考顺利,十年努力今日成功!
8、祝愿所有的学子们:金榜题名!相信自己,你们是最棒的!
9、忆往昔三年,朝九晚五,埋头在书本之间,奋斗在高考一线;而今,怀揣梦想,坚定信念,成功就在不远前。祝你能够金榜题名,考试高中!
10、高考的意义是在于你真正投入的过程。请务必坚持信念,守得云开见月明!祝你们成功!
11、高考是一个实现人生的省力杠杆,此时是你撬动它的最佳时机,并且以后你的人生会呈弧线上升。
12、校园里寂静无声,教室里聚精会神。老师的'脚步轻轻,学生的笔儿不停。十年辛苦此时博,只愿金榜题名慰双亲。全国高考日到了,愿你超常发挥创佳绩,成绩傲人开心笑!
13、高三不再有,劝君珍惜之。一次难忘的经历,一生宝贵的财富。
14、少壮须努力,用功要趁早。十年磨一剑,备战为高考。天道自古酬勤,付出才有回报。压力释放心情好,考前放松最重要。预祝高考顺利,金榜题名!
15、辛勤耕作十二载,知识田里成果现。考场之上奋笔书,难易题目都做完。开开心心出考场,笑容满面捷报传。亲朋好友都开颜,祝贺声声赞誉传。祝你高考旗开得胜!
16、昨日撒下勤奋种,今朝一搏必成功。鲤鱼一跃便成龙,大鹏展翅震长空。前程似锦圆美梦,锦衣凯旋沐春风。寒窗不负苦心人,金榜有你祝高中。高考顺利,愿你成功!
17、试纸浸墨香,金笔下千言。思虑心平定,谨慎落笔闲。且喜平常度,切忌神慌乱。畅游题海后,金榜题君名。六月高考,祝你成功。
18、健康的身体是基础,良好的学风是条件,勤奋刻苦是前提,学习方法是关键,心理素质是保证。
19、为了高考,难题攻克千道万道;备战高考,大考小考不知多少;迎接高考,心态放平千好万好;过了高考,一身轻松一了百了。十年寒窗高考到,金榜题名传捷报!
20、付出终有回报,信心绝对重要。马上就要高考,别忘面带微笑。有空睡个好觉,不必紧张煎熬。敞开鲲鹏怀抱,直上青云九霄。祝高考顺利!
21、考都考了,就别再惦记,该吃就吃,该玩就玩,剩下的事,交给老师们,去烦!难得有个,超长假期,注意Happ,也要注意身体!
22、考试如斯多焦,无数考生尽彻夜,唐宗宋祖,不得不抄。一代天骄,成吉思汗,只把白卷交。批完乎,数风流人物,全数重考!
23、全国高考日到了,愿你执才高八斗生辉笔,饮才思万千智慧水,带气定神闲满面笑,拥胸中成竹满怀志,书锦绣嫣然好答卷,定折取桂冠来题名。
24、诗书满腹才华高,高考成绩一枝俏,理想没有大和小,真实善良就美好,实现价值光闪耀,成功将会把你绕。祝福你被理想学校录取。
25、升学考试近了,寒窗苦读为前途,望子成龙父母情。我发短信传祝福:放下包袱开动脑筋,勤于思考好好复习,祝你取得好成绩,期待你的成功!
26、十年寒窗,开出芬芳;十年磨剑,努力未变;十年坚守,成功守候。十年的风雨兼程奋力追逐,让梦想现实的时刻。祝高考顺利,金榜题名。
27、祝愿你:会做的题一题不错,该拿的分一分不丢。
28、儿子,爸爸、妈妈想对你说:我们永远爱你!我们不要求你做最棒的人,但我们要求你做最健康、最阳光、最上进的人。儿子,我们希望你能以一颗平常心去面对一切挑战。
29、再过几天即高考,十年寒窗为今朝。临时没法抱佛脚,上阵磨枪有绝招。考前定要休息好,平常心态很重要,用具准备要趁早,有备而战信心高。祝高考顺利。
30、静心温习,一切运筹帷幄之中;睡觉休息,不焦虑心情要轻松;营养给力,身体倍棒勇猛冲锋;平常心态,一切随缘一定高中;祝高考成功!
