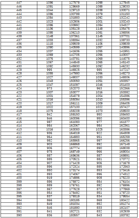
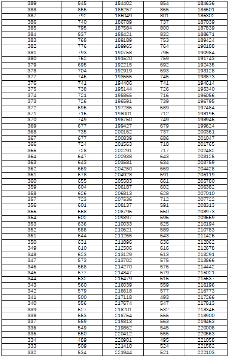
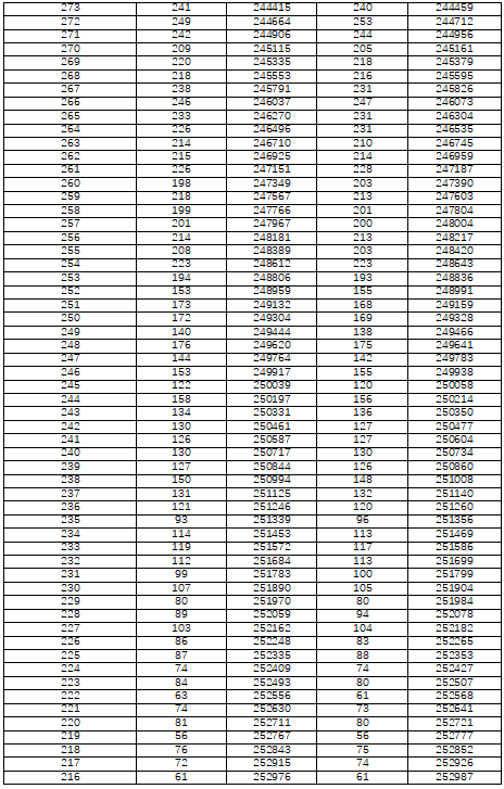
湖南2022年高考一分一段分段表(文理科)
推荐文章
高考已经结束了,各位考生终于可以好好放松一下了,但是这个时候心里肯定还是关心高考一分一段的吧?下面是小编为大家收集的关于2022年湖南高考一分一段。希望可以帮助大家。
2022年湖南高考一分一段
理科










文科










家长应提前了解如何填报志愿
让分数实现最大价值
家长都非常重视孩子的学习实力,却容易忽略填报志愿在高考录取中的重要性。学校发了相关的材料,很多人可能并不下功夫去了解和研究,而是马马虎虎地看一看就过去了。
学习实力体现在分数上,而分数的含金量能否发挥相应的作用,就要看填报志愿的技巧了。
一个令人深思的现象每年都会发生:有的考生成绩一般,比如550分,但是能考上提档线与他分数相对应的学校,也就是自己的成绩没有“浪费”。有的考生考了640分,最后却可能只被一所提档线510分左右的大学录取。
我在此建议,无论家长还是考生本人,要像对待考试那样认真地对待填报志愿这项工作,把它放在与提高学习、调整心态一样的重要地位。
发挥家长的优势
分高未必能上好学校,因此在某种意义上,填报志愿也是一种对学生的考核,考核学生的评估能力、分析能力、综合能力、判断能力。
很多家长问,自己在孩子高考前最应帮他们做什么?总体上看,能给孩子辅导功课、比孩子更清楚学什么、考什么的家长不多,不过几乎所有家长在填报志愿的问题上都比孩子更具优势。
因为家长有比较充裕的时间,可以去搜集各大学的录取信息、录取机制,研究报志愿的技巧和学问,给孩子出主意。另外,他们也最了解孩子的水平、意向,只要情况掌握得周全,有比较、有分析,就能帮孩子作出正确理智的判断,确保高考分数充分实现价值。
填报志愿有“秘诀”
既然填报志愿是高考成功的重要环节,而家长又相对能发挥优势,那么具体要掌握哪些“秘诀”呢?
充分把握信息
家长在孩子填报志愿前要充分把握有关信息,包括国家当年关于高考的政策、有关高校的录取政策及目标中的大学最近三年的招生情况等等。
首先要了解孩子所在的省采取哪种填报志愿的形式。全国31个省、自治区、直辖市的高考填报志愿采取三种形式:考前填报志愿;高考之后、成绩公布之前估分填报志愿;高考成绩公布之后填报志愿。
以历年情况来看,采取第一种形式的省市有5个:北京、上海、重庆、广东。填报工作都在5月进行,上海在上旬,吉林在下旬,其余三省市均在中旬。
考前填报志愿主要以考生平时成绩为依据,并适当地考虑最近时期的心态。这种填报志愿的方式对孩子高考会有一定的压力,因为很难保证考前估计的成绩和考试成绩完全一致,(很多因素都会发生一定的变化。家长要帮助孩子比较准确、科学地对自己的实力作出预估。
采取第二种形式的省市有16个:广西、新疆、贵州、黑龙江、湖南、山西、福建、陕西、湖北、天津、西藏、安徽、江西、甘肃。这些地区的考生家长关键要协助孩子把考分评估准确,估分能力的高低对填报志愿准确与否起着很大的作用。
采取第三种形式的省市有10个:浙江、山东、河南、河北、江苏、内蒙古、海南、四川、青海、宁夏。这些地区考生家长的作用在于指导孩子准确地按照自己的分数报考相应的大学及专业,力求避免填报志愿“扎堆儿”的现象。
有人以为先知道分数再报考学校简直“十拿九稳”,而事实上,每个考生除了自己的分数,对于某校某专业会有多少人报考几乎一无所知。根据经验,这种报志愿形式对考生最大的不利在于志愿扎堆、相互残杀,造成高分落榜。
例如某校某专业历年提档线都在560分左右,凡是考分在560以上的考生估计填报该专业没有问题。本来这个专业在本地区招20人,报名的却高达200人,那么将有90%高出原提档线的考生被淘汰,该专业当年的提档线也大大的提高了。
家长可以通过各种相关的媒体、报刊、书籍、宣传材料,来了解拟填报的学校和专业在本省招收的名额及录取政策,特别是第一志愿学校及其专业,必要时还可以与该校招生办的工作人员直接对话。很多北京以外的考生想报考北京大学、清华大学、中国人民大学、北京师范大学,可能自己的实力也相当强,但是这些大学分配在各省拟录的名额是有限的,这就要综合考虑各方面原因。
除了对国家高考政策的了解、对高校的了解,家长还需要了解孩子所在中学的情况。国家的高考政策基本是稳定的,但也会逐年稳中有进、稳中有改,这就要随时注意教育行政主管部门发布的信息。
此外,家长对填报志愿的程序也要了解清楚,到时可以指导孩子,而且事先对此有充分考虑,孩子填报志愿时才不至于糊里糊涂。
湖南2022年高考一分一段分段表(文理科)相关文章:
