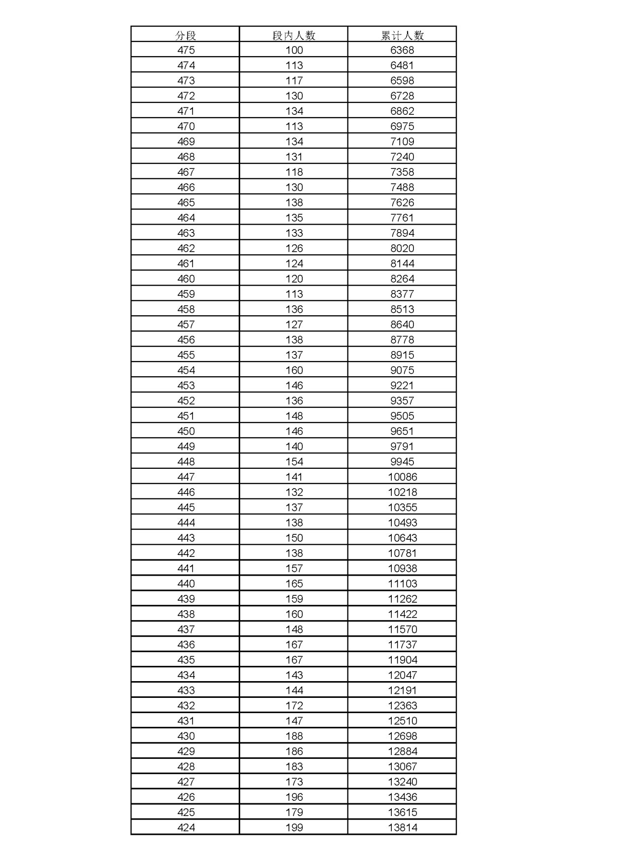
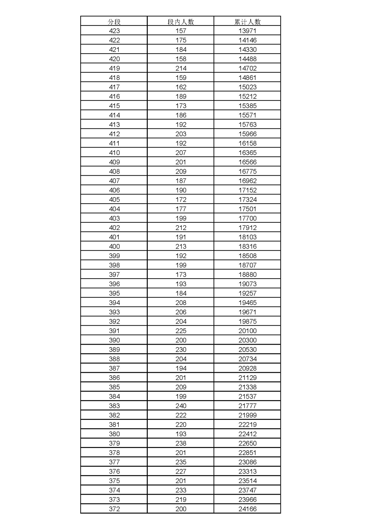
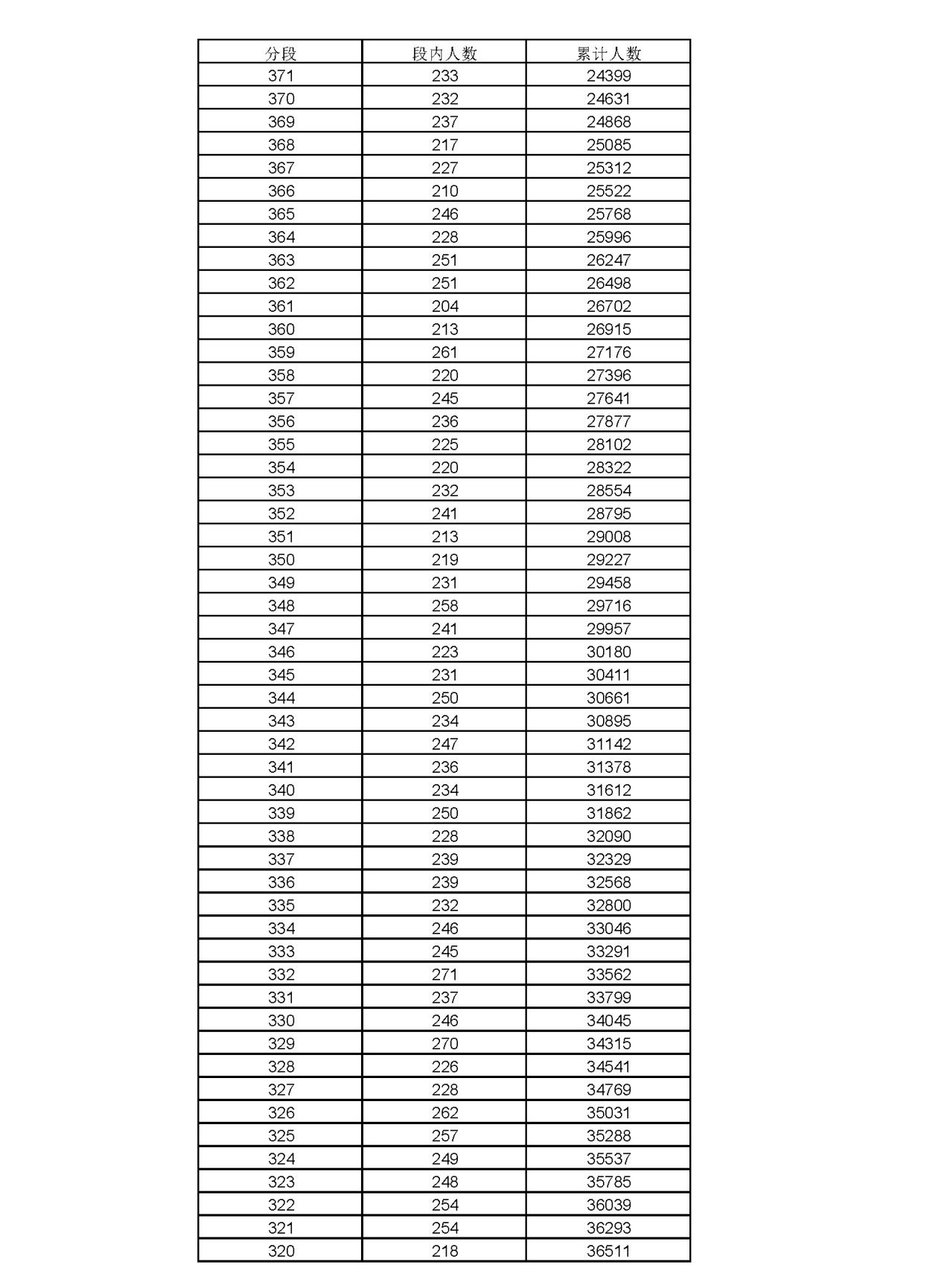
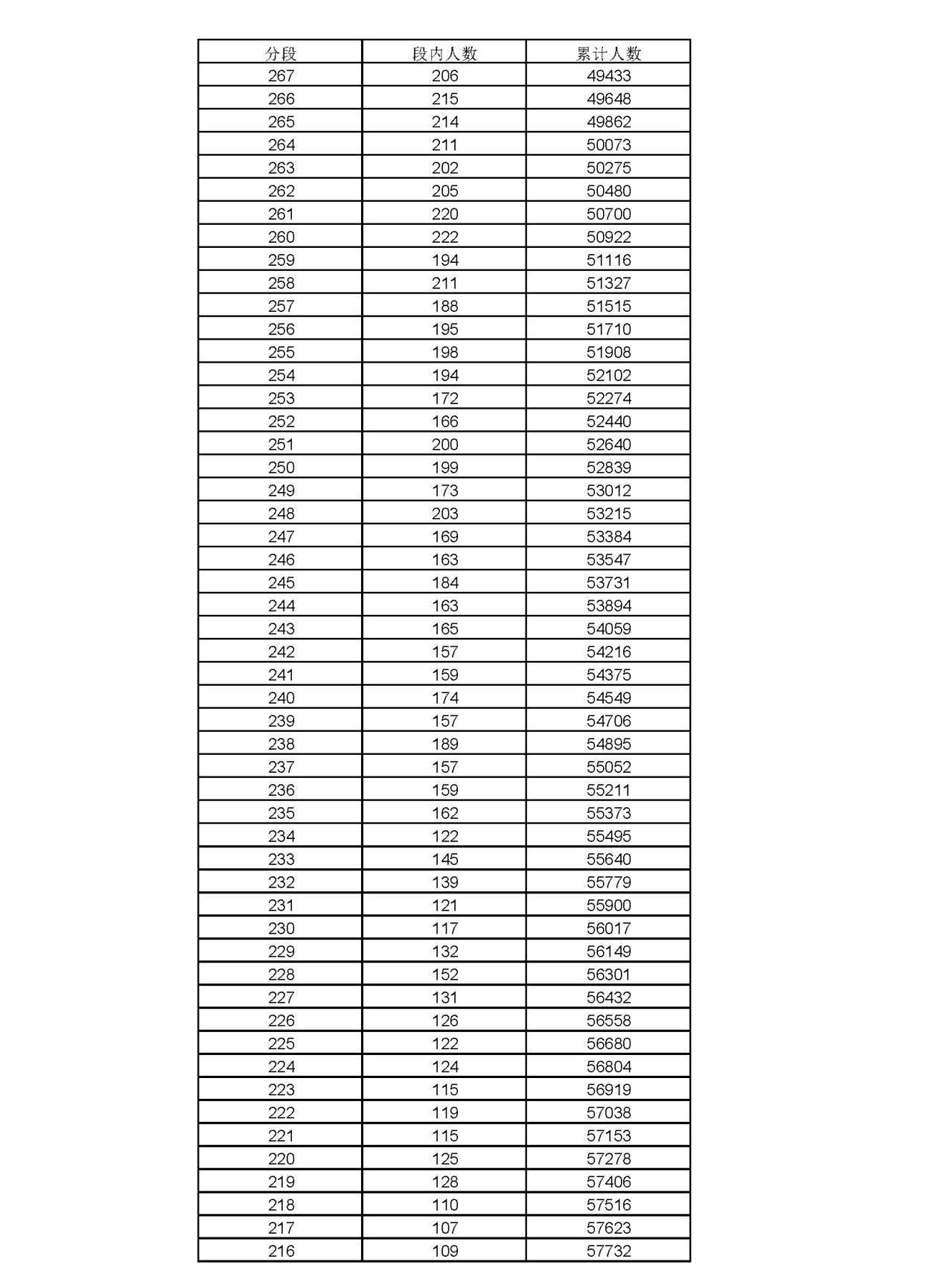
黑龙江2022年高考一分一段分段表(文理科)
推荐文章
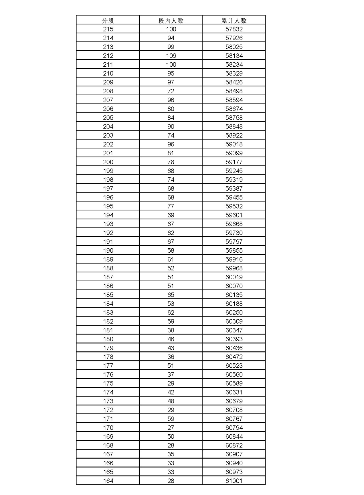
高考已经结束了,考生重点关注的高考一分一段已经陆续公布了,你想知道2022年最新的高考一分一段是多少吗?下面是小编为大家收集的关于2022年黑龙江高考一分一段。希望可以帮助大家。
2022年黑龙江高考一分一段
理科

文科










高考志愿:高考上线不能被录取的六大原因
考生“上线落选”主要有两种情况:一是指某考生的高考分数虽然达到了相应录取控制分数线,但没有达到所报学校的调档线,档案没有被投出去。二是指某考生的高考分数达到了所报学校的调档线,档案已经投到这所院校,院校审阅档案后因某种原因认为不宜录取,予以退档。每一批次录取完毕后,总有一些成绩超出批次线的考生不能被录取。
考生“上线落选”主要有两种情况:一是指某考生的高考分数虽然达到了相应录取控制分数线,但没有达到所报学校的调档线,档案没有被投出去。二是指某考生的高考分数达到了所报学校的调档线,档案已经投到这所院校,院校审阅档案后因某种原因认为不宜录取,予以退档。每一批次录取完毕后,总有一些成绩超出批次线的考生不能被录取。“上线落选”的原因主要有:
(1)调档比例因素落选。招生院校为了有一定的选择余地,录取过程中,调档人数略多于招生计划数。因此,部分已投档考生会因招生计划限制被高校退档而落选。
(2)志愿扎堆落选。填报某一高校的考生扎堆造成该校调档线比预估的高,考生成绩虽然过了录取批次控制线,却达不到院校调档线,没有机会参与调档而落选。
(3)填报志愿过少落选。考生填报志愿太少(如只填报一个院校志愿),一旦所填报院校落选,没有机会参与同批次其他院校的选择录取。
(4)专业志愿填报失误。一些考生全部填报热门、紧俏专业,又不服从专业调剂,高校无法满足其填报的专业志愿,被退档而落选。
(5)考生的身体条件不符合所填报专业的要求,高校不予录取。
(6)相关科目成绩过低。考生高考成绩达到了院校调档线,但某一门单科成绩较低,没有达到学校对考生所填报专业相关科目的成绩要求,学校不予录取。
黑龙江2022年高考一分一段分段表(文理科)相关文章:
