云南2022年高考一分一段位次表出炉
推荐文章
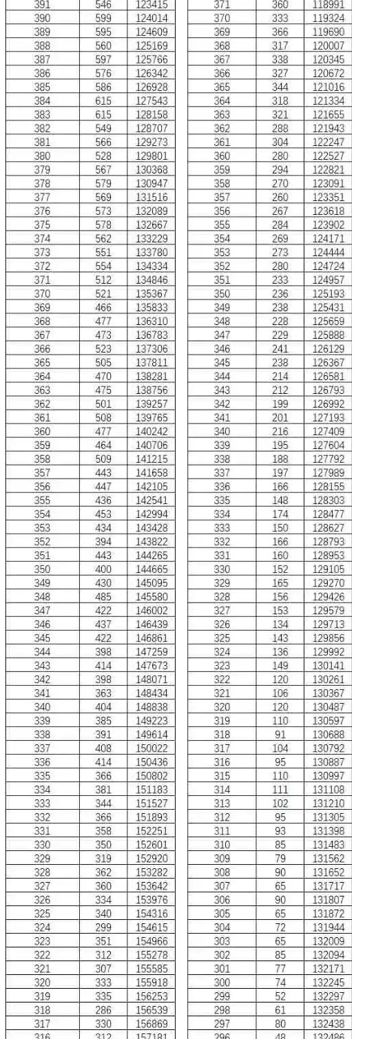
一分一段表是根据考生考分(含各类照顾加分)从高到低排序,以一分为一段,制成考生投档分的“一分段表”。下面是小编整理的云南2022年高考理科一分一段位次表出炉,希望能够帮助到大家。

云南2022年高考一分一段位次表出炉







一分一段表的具体作用
一分一段表的作用是可以显示每一个分数全省考生有多少名,考生可以根据自己的分数对照一分段表,再参照往年各类学校各批次招生计划数,确定自己该如何填报志愿。
一分段表是将全市同科类(仅指普通高考文史理工类考生,不含艺术体育和职教师资、三校高职考生)考生的投档分(高考文考成绩总分+照顾加分,不含和志愿相关的志愿加分)从高到低排列(分数相同的则为并列),再按一分一段统计“本段人数”。
高考朋友圈句子
1. 高考每年六月七八号,天气炎热心情燥,调整心态睡眠足,生活习惯莫突出,放松心情压力小,各科成绩必定好,平常一颗心常在,金榜题名乐逍遥!
2. 你若选择轻易放弃,那就是对不起自己。亲爱的高考学习们,不要放弃自己,好好加油吧!
3. 冬去春来好景年年有,辞旧迎新成绩步步高。
4. 枝头喜鹊喳喳叫,金榜题名喜讯到。亲朋好友来祝贺,父母开心脸含笑。鲤鱼今日龙门跳,进入学府再深造。他日一展凌云志,事业成功成英豪。愿你前程多美好,实现梦想步步高!
5. 在高三这一年,努力奋斗吧,把汗水变成珍珠,把梦想变成现实!
6. 以解决自己的问题为目标,这是一个实实在在的道理,正视自己的问题,设法解决它,这是成功的捷径。谁能塌下心来把目光凝集在一个个小漏洞小障碍上,谁就先迈出了一大步。
7. 有远大目标,为了目标顽强努力,感受过程中的细微幸福,不断使自己更坚强,幸福满足感不断增加,这样才是正确的考前打开方式。
8. 春天来了,万物都在努力获得新生,要加油,愿万事顺意,不负前程,高考倒计时天!
9. 请你们相信,只要你们的心中怀揣着对春天的美好向往,我们就会精心呵护,细致浇灌,将这些怀揣梦想的萌芽,培育成百天之后绚烂绽放的花朵。
10. 哪怕是最没有盼望的事情,只要有一个勇敢者去坚持做,到最后就会拥有盼望。
11. 寒窗苦读数十载,秉读诗书千万册,日夜奋进辛劳悴,只为今朝提名时。高考,稳的是心,用的是技巧,冷静的是思想,沉着的是头脑,高考时就像平常一样的对待,不要考虑太多,希望你能够调节自我,好好作答。祝你最后有个好成绩,金榜题名,衣锦还乡!
12. 你们或许焦躁不安,或许茫然无措,或许“鸭梨山大”,但“三年磨一剑,六月试锋芒。”相信你们会一如既往迎接挑战,不畏前行!
13. 再长的路,一步步也能走完,再短的路,不迈开双脚也无法到达。
14. 心态好,万事都好,答题好字写好,高考战场发挥好。状态佳,凡事都佳,情绪佳分数佳,人生转折从此佳。信心百倍升,考无不赢战无不胜。祝你高考顺利,考出好成绩。
15. 曾经我也面对高考,现在有点旁观咯,祝福他们吧,现实象个石头,精神象个蛋,石头虽然坚硬,可蛋才是生命。
16. 高考,不会让全世界看见你,但能让你看见全世界。
17. 放平心态应战,仔细当真答题,保持自信满满,维持良好心态,保证充足睡眠,定能旗开得胜,全国高考日,愿你超能施展,金榜落款,走向自己梦想的大学!
18. 入校如探山,欲向最上层一游,须得登峰造极,求学似观海,能从至深处着想,不难竟委穷源。
19. 没有不进步的人生,只有不进取的人!
20. 人生终有许多选择。每一步都要慎重。但是一次选择不能决定一切。不要犹豫,作出选择就不要后悔。只要我们能不屈不挠地奋斗,胜利就在前方。
21. 生命对某些人来说是美丽的,这些人的一生都为某个目标而奋斗。高考,加油!
22. 去吧,皮卡丘,青春不留遗憾。
23. 好好学习,天天向上,提升自我,父辈添光,高考在即,切莫慌张,调整心态,斗志高昂,祝福伴你,扬帆起航,信心满满,创造辉煌!
24. 世事忙忙如水流,休将名利挂心头。粗茶淡饭随缘过,富贵荣华莫强求。
25. 在人生的道路上,你已经有了良好的开端。我为你的成功喝彩,我为你的明天祝福!同时,我也得提醒你,一个人无论有多大的学问,始终都不能满足,因为知识是无穷的,学习是没有止境的。
26. 每个人都会处在这个时期的,很累人,很折磨人,但是很令人怀念,真的,高三的日子,有欢喜,也有苦恼。高考了,加油吧!
27. 上游,是壮士劈风破浪的终点,下游,是怯夫一路顺风的归宿。
28. 要相信自己的能力相信自己的水平相信自己还有潜力没有被挖掘出来。要确信自己是最优秀的,请把全部精力都集中起来去证明它,你们一定会傲然屹立于大家面前!
29. 许是宿命难违,许是有缘无份,努力没有结果,让我与成功失之交臂,未来如何,只望星空!他,还会掂念着我吗?
30. 真正的恐惧来自恐惧本身,害怕失败就是最大的失败。
31. 送走了五月花丛的芬芳,迎来六月桃李的时光。高考在即,给你发条短信:你可以不用理我,但不能失去自我,你可以不看短信,但不能没有自信,预祝高考顺利!
32. 生活本来就是一场恶战,给止疼药也好,给巴掌也罢,最终都是要单枪匹马练就自身胆量,谁也不例外。
33. 不向困难低头,不向挫折低头,不向命运低头。
34. 送你一道考神符,助你走上青云路:可把好运添,能让成功现,有消除紧张之功效,有增强信心之灵妙,愿你好好收藏,保你考试顺利!加油,祝高考成功!
35. 要为之努力,脚踏实地的朝着自己的目标一步一步向前走,每天都实现一点,每天都进步一点。
36. 太阳每天都是新的,你是否每天都在努力。
37. 十年苦读寒窗下,一举成名到时了。看那美丽象牙塔,有山有水有鲜花,为了它和你的她,这回哥要玩命了。愿君:此去博得甲天下,锦衣归乡传佳话。
38. 人生能有几回搏?此刻不搏更待何时?珍惜机遇吧,让金色的年华碰撞出更加灿烂的火花!
39. 今天多一份拼搏明天多几份欢笑。
40. 又是一年高考到,一心一意祝福你,二份真心伴你行,三分提醒沉着应考,四份好运陪伴你,五份细心要做到,六六大顺金榜题名。
