云南2022年高考一分一段位次表出炉
推荐文章
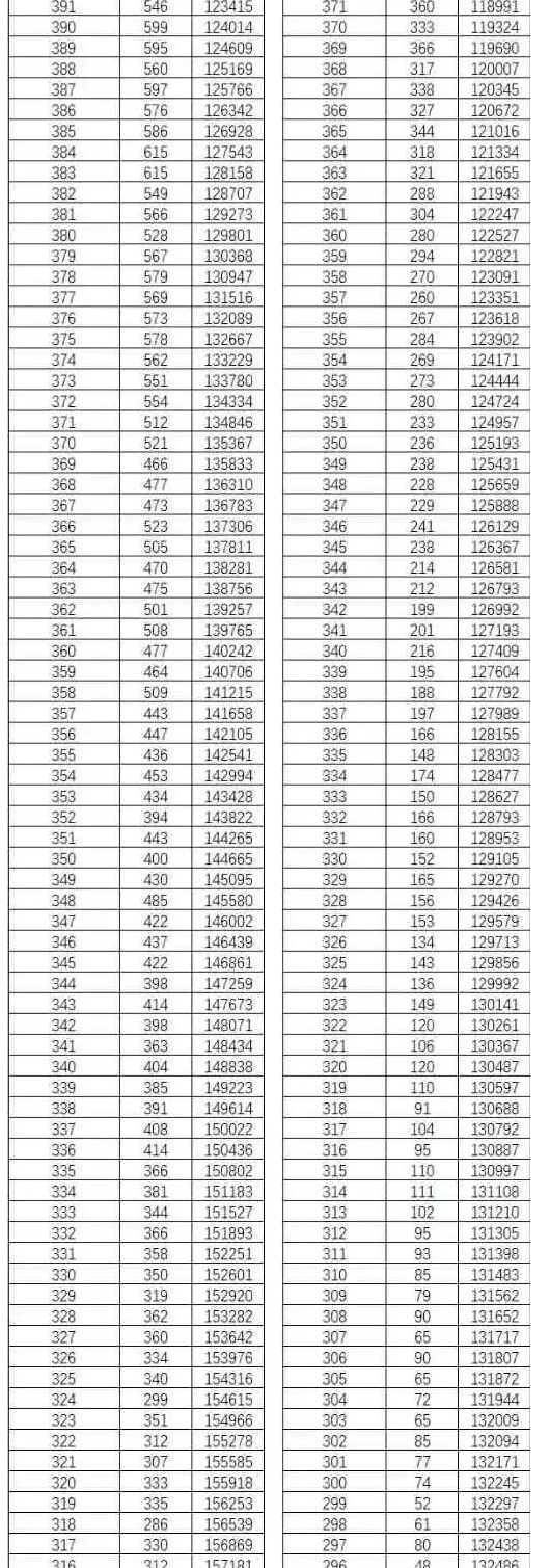
一分一段表是很重要的填报志愿的依据,是从高到低的排名,考生根据成绩对照一分一段表,就可以知道自己在全省的排名,下面是小编整理的云南2022年高考文科一分一段位次表出炉,希望能够帮助到大家。

云南2022年高考文科一分一段位次表出炉







一分一段表的使用方法
考生拿到一分一段表后,首先找出自己的分数在表中所对应的位次,然后找出过去几年(最少三年)目标院校的录取分数线在表中的位次,将两个位次进行对比,然后进行合理预测。
从高到低排序,以一分为一段,制成考生投档分的“一分段表”。一分段表上的分数,不含和志愿相关的志愿加分。“一分段表”上的每个分要对应一个“人数”,即有多少考生是这个分数,还对应了一个“累加人数”,即是这个分数考生的排名。
2022激励高考生的暖心句子
1. 十年寒窗无人问,一举成名天下知。
2. 高考了,愿才高八斗,满腹经纶的你,步入考场,谈笑自若。
3. 愿你合上笔盖的那刻,有战士收刀入鞘的骄傲。
4. 祝福明日到,灿烂如花笑。日月匆匆过,金榜把名挂。
5. 金榜题名梦已圆,再入学府去深造。
6. 来得及,考得上,你可以。
7. 祝君高考顺利,一鸣惊人!
8. 祝你考试顺利,金榜题名,一飞冲天。
9. 锦绣征程从此始,踏踏实实莫轻狂。
10. 自小刺头深草里,而今渐觉出蓬蒿。
11. 愿你这位久经沙场的战士,顺风扬帆,一路向前,金榜如愿!
12. 萤火虫的光点虽然微弱,但亮着便是向黑暗挑战。
13. 相信自己,真材实料。金榜题名,非你莫属!
14. 不是抓紧每一分钟学习,而是抓紧学习的每一分钟。
15. 考场归来笑满面,捷报到来绽笑颜。
16. 希君生羽翼,一化北溟鱼。
17. 汗水无悔,青春无价,高考加油!
18. 乐学实学,挑战高考;勤勉向上,成就自我。
19. 心平气和信心足,过关斩将如流水。
20. 努力定有回报,自信相当重要,加油。
21. 会当凌绝顶,一览众山小。
22. 高考在即,祝成功!
23. 步月登云飞万里,扬华擒藻赋千秋。
24. 不悔梦归处,不恨太匆匆。
25. 祝你考出好成绩,金榜题名创辉煌。
26. 我们终将上岸,阳光万里。
27. 开开心心出考场,金榜题名美名扬。
28. 全力以赴,夺取胜利。
29. 现在努力不算晚,只为以后少风险。
30. 旗开得胜,捷报频传,高中状元!
31. 愿所有努力都不被辜负,祝福所有高考考生!
32. 愿你继续努力,在高等学府的知识海洋中畅游。
33. 想要看更远的风景,就需要跋涉千里。
34. 高考,是一场持久战,只有坚持到最后的人才能笑到最后。
35. 青山绿水好风景,黄金榜上题姓名。
36. 不着急,带文具,拼搏考场属于你。
37. 为青春,为梦想,努力努力再努力!大声对自己说:你一定行!
38. 没有什么不可能的,相信自己,别让自己后悔。
39. 凌云壮志展宏图,锦绣前程幸福路。
40. 春风得意马蹄疾,一日看尽长安花。祝愿考生们顺利上岸。
41. 考上大学,实现梦想,相信自己,一定最好。
42. 鹏北海,凤朝阳。又携书剑,路茫茫。
43. 胸中才思汩汩涌,笔下锦绣生光辉。
44. 辞乙酉难忘闻鸡起舞,迎丙戌仍需刺股悬梁。
45. 一举高中好花魁,自信奔赴好前程。
46. 寒窗苦读十余载,今朝会考展锋芒。
47. 有人说高考是排位赛,但赢家不是排位决定的。
48. 即使是微不足道的蝼蚁,穿过黑暗的沼泽,也算顶天立地。
49. 自信,是无尽智慧的凝聚!平淡,是成功路上的驿站!
50. 金榜题名,称心如意!收获精彩,开心快乐!
51. 希望这个夏天大家都不留遗憾,高考加油。
52. 高考到来勿急躁,稳着情绪静心考。
53. 天再高又怎样,踮起脚尖就更接近阳光。
54. 刻苦钻研,勤学苦思。
55. 尚未配妥剑,转眼便江湖,愿历尽千帆,归来仍少年!
56. 好好休息觉儿美,一举高分必定你!
57. 今日不肯埋头,明日明日何以抬头。
58. 水激石则鸣,人激志则宏。
59. 梦是把热血和汗水与泪熬成汤,浇灌在干涸的贫瘠的现实中。
