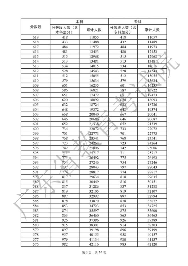
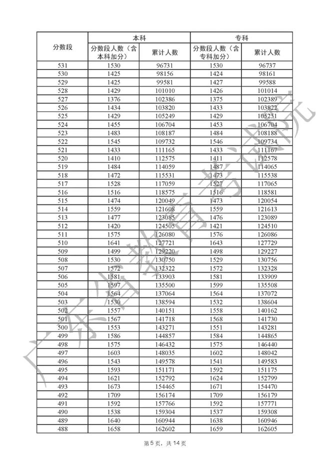
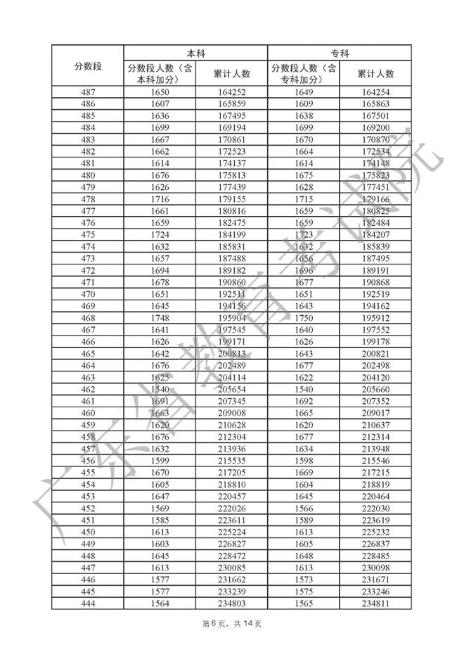
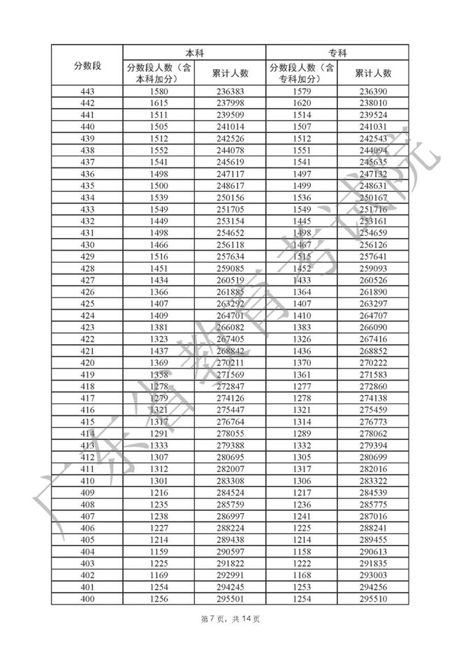
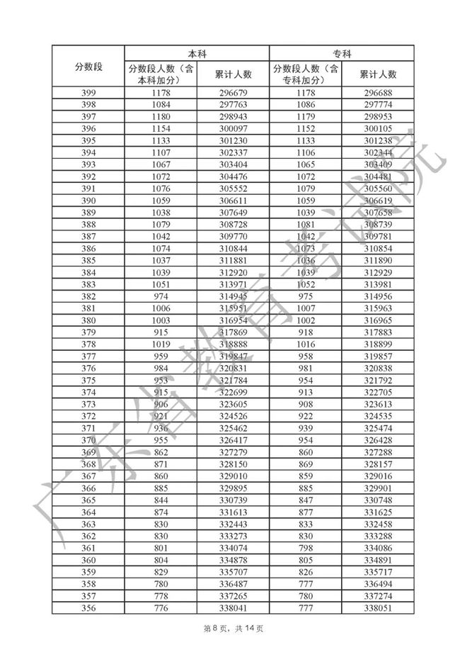
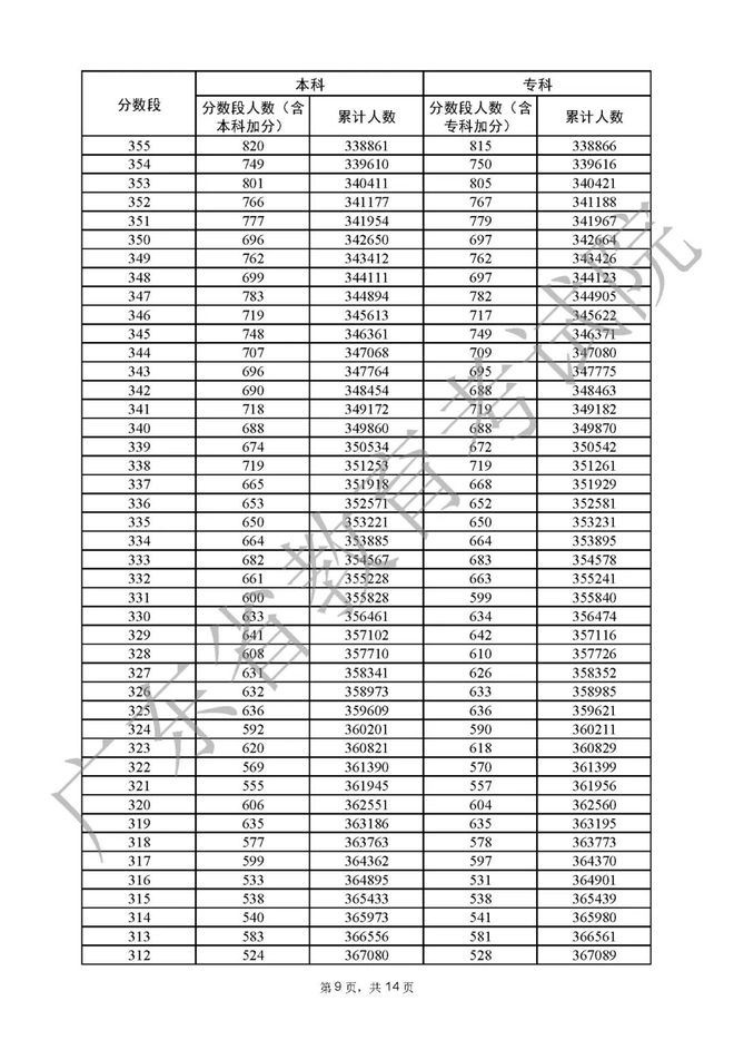
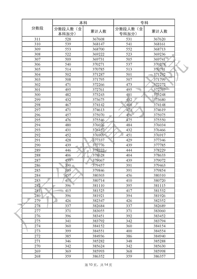
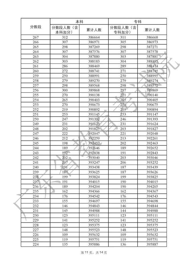
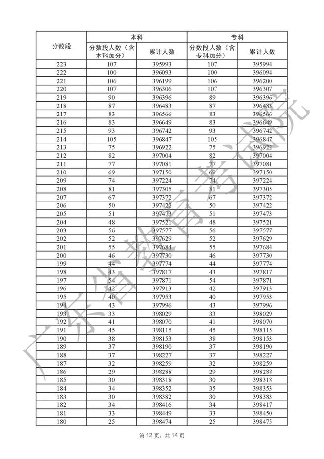
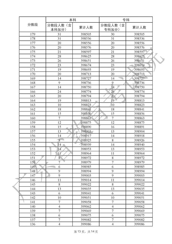
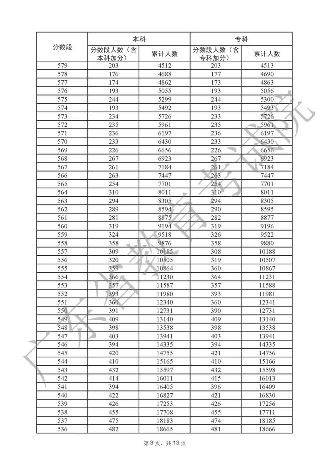
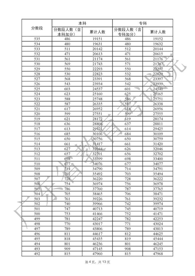
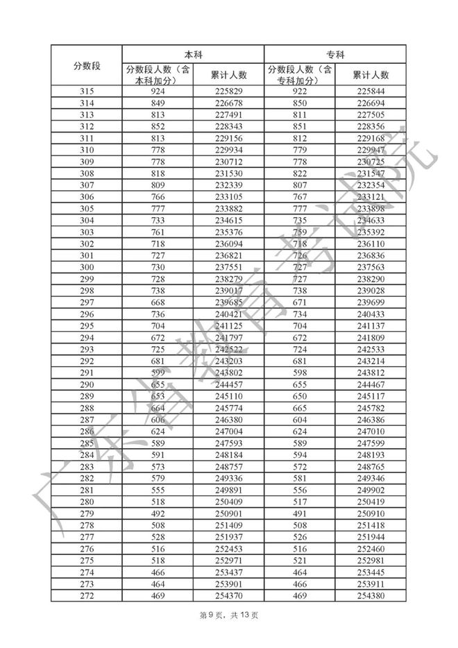
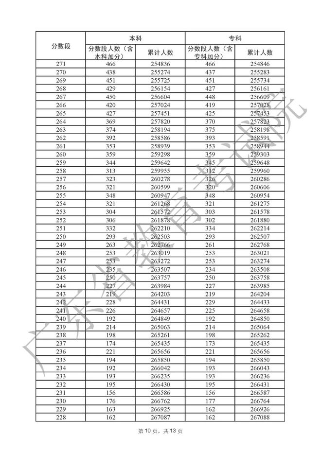
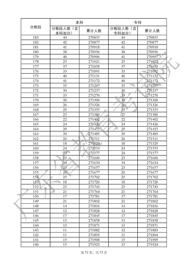
广东2022年高考一分一段表最新出炉
推荐文章
一分一段表是在高考结束之后公布的,各地区在不同时间段公布一分一段表,那么你知道甘肃今年的一分一段表吗?以下是小编整理的广东2022年高考一分一段表最新出炉,希望可以提供给大家进行参考和借鉴。
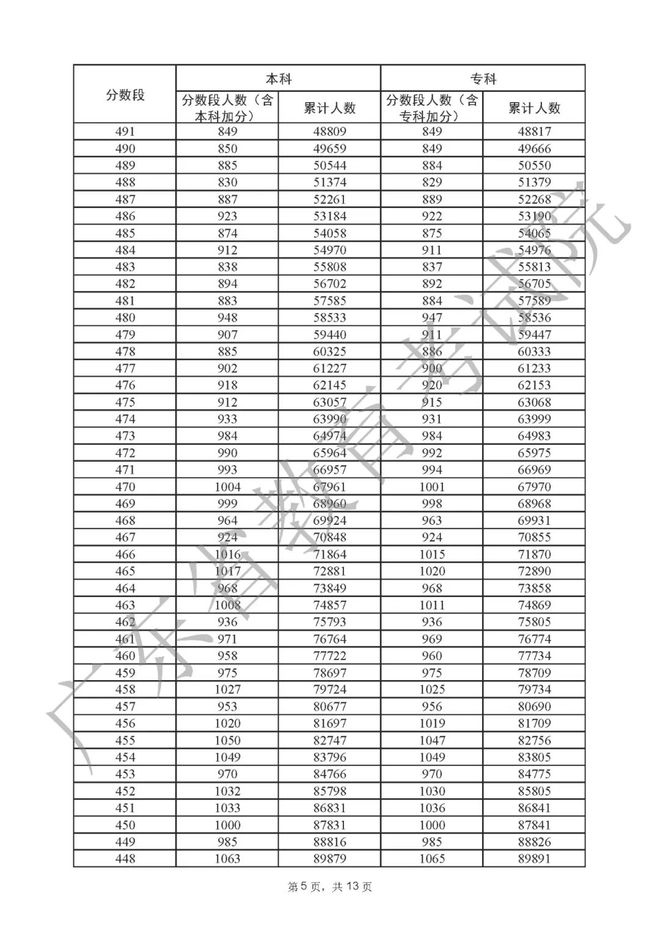
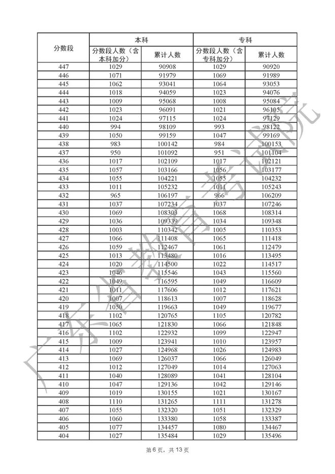
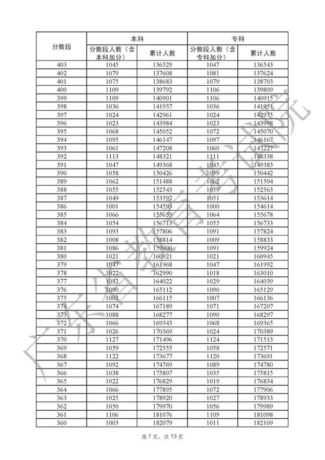
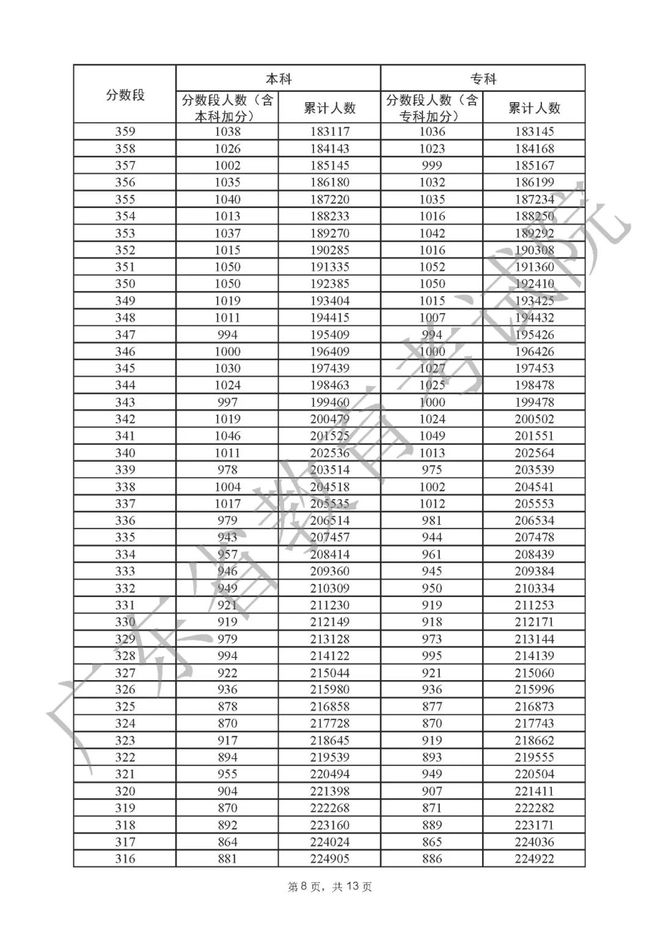
广东2022年高考一分一段表最新出炉(物理、历史)



























广东2021年高考一分一段表





























选择大学需要考虑的因素
一、读透高校录取规则
有许多考生或家长,在考虑高考志愿填报时,往往把主要经历放在学校的录取分数线上,而忽略了对高校《招生章程》的阅读。其实,要填好志愿,高校的《招生章程》是不可不读的。因为《招生章程》是高校向社会公布有关招生信息的主要渠道之一,其中的内容尤其是“录取规则”,是高校对社会和考生的承诺,高校必须依据招生章程开展招生工作。因此,考生要仔细阅读。
之所以要读透高校录取规则,这里说的是要“仔细”阅读,是因为许多文字,不仔细琢磨,容易被忽略。也就是这里要谈的细节问题。
高校《招生章程》“录取规则”中,就有许多值得注意的细节问题,考生稍不注意,就会被忽略。我们仔细剖析《招生章程》,希望在新一年的填报中,引起广大考生的注意:
(1)平行志愿的低投档比例或“不退档”承诺
阅读高校《招生章程》的“录取规则”里,要明确调档比例。如平行志愿的调档比例,一般都在高校招生计划的105%左右。但也有高校提出只按该校招生计划数的100%调档。
不要以为调档比例只是院校和省级招办的事情。其实从高校明确提出的调档比例中,可以读出一些对考生非常有用的信息:如投档比例100%,,则意味着零退档,只要愿意服从调剂,身体不受限。这个信息对考生来说是非常重要的信息,因为平行志愿投档后如被退档,则只有等待征求志愿或进入下一批次。
(2)梯度志愿第一志愿录取满额,也录取非第一志愿考生
对于传统的"顺序志愿"投档录取模式的省份来说,一般高校只有在第一志愿生源不足时,才接收非第一志愿考生,但也有一些高校在生源充足的情况下,接收非第一志愿考生。
(3)录取条件或要求
当然,"录取规则"里,更多的是一些限制性要求。有关限制性要求,多是针对部分专业或部分身体受限考生。但也有一些院校提出了"超宽"限制要求,也就是限制面比较大。
(4)专业学制的"不三不四"
除医学类本科专业为五年外,一般本科专业为四年,但却有不少非医学本科专业"不四"。一些院校在《招生章程》里会有特别说明,或在《招生计划》会有备注。如学制一般5年的专业有建筑学、城市规划、景观建筑设计等。
二、摸清学校底细
报考大学,请先看清楚具体专业和合并情况,不能够单单看学校的简介,很多高校出于招生的需要,刻意隐瞒了一些事实。如果报考之前不慎重,等去了再后悔,实在令人惋惜。更别说各学校之间的相互比较、分出优劣了。而如今正是信息时代,各种资料满天飞,各种消息扑面而来,真伪难辨,对错不知。由于广大考生及家长不是专业人士,既没有时间也没有精力,要想在不长的时间内了解情况并作出正确的选择,完成高考志愿填报,就要注意方法的科学性,资料的全面性、多样性、客观性,以及其可比性,也就是说各种资料进行对比,必须具有可比的条件,符合对比的要求,不然不是没有意义,就是作用不大,甚至会有副作用。下面我们了解一些可供参考的信息。
1、“985”高校
“985”大学应该说是重点中的重点,国家竭尽全力扶持这些高校,无论从财力还是从人力上都给予了最大的支持。考入这样的高校,会“身价”倍增,也会前途无量。
2、211工程”高校
“211工程”大学应该算是上是大家眼中认可最早的重点大学了。这种高度认可也对高校的发展带来了无限的契机,同时也给学生无限的可能。一般来说,“985”和“211”工程院校都是在本科提前批或者是第一批录取,分数比较高,有实力的同学可以重点考虑。
报考建议:如果要报考一个最好的中国高校,可以“985”顺序来报考,如果分数不够这些学校,可以考虑非“985”和“211”高校,同时考虑学校所在地城市。
3、双一流大学
“双一流”是指世界一流大学和一流学科建设,其中,一流大学建设高校42所(A类36所、B类6所),一流学科建设高校95所。启动实施“双一流”建设,是中国大学冲刺国际前列、打造顶尖学府的“冲锋号”。目前985、211工程等重点建设项目已经统筹为“双一流建设”。有实力的考生对双一流高校可重点关注。
当然,学习成绩好的同学也可以挑选一些虽然不在三个名单中,但是仍然出色的专业高校,如军事院校、中戏、中央美院、外交学院等。或者干脆一点,直接去中国香港、澳门的大学读书。
三、参考全国大学的国家重点学科
需要明确指出的是全国大学一级学科排名和国家重点学科的分布情况对报考研究生作用非常大,只需“对号入座”就可以了,而对于高考生就不完全如此了,由于全国大学一级学科排名和国家重点学科是根据研究生学科、专业目录进行的,而本科生的专业目录与研究生学科、专业目录相比有较大的不同,不是一一对应的关系,故而不能简单地完全“对号入座”,但也不是说完全没有"对号入座"的,具有非常高的参考可用价值是无疑的。
四、理性参考各类“大学排行榜”
各种“大学排名榜”的出现,是一种社会进步的表现。尽管目前国内关于高校的排名榜很多,排名的依据和参照因素不尽相同,调查的范围大小不一,因此有些“大学排名榜”不免失之科学和客观。对高考考生来说,如果能够正确看待各种排行榜和理解它们的意义,对于填报志愿也有很大的帮助。
那么,考生和家长究竟该如何理性看待高校排行榜呢?某高校招生办主任表示,大学排名可以作为考生填报志愿的参考资料,但不应过分迷信。“由社会机构推出的各种大学排行榜公信度不高,而目前又没有官方制订的排行榜。因此,考生在选择学校时应该首先想到的是,各个学校都有自己的特色,光看排名或许能够对学校的办学层次有大致了解,但名次相近的大学之间的排序不一定客观。建议考生和家长可以这么看:比如1-10名,应该比30-40名好,以此类推,圈定一个选择的范围。这样相对来说,就比较合理。”
什么是录取分数线、提档线、投档线
录取分数线
录取分数线也叫省控线、批次线。是指省级招生部门根据当地全体考生当年高考成绩水平和国家下达的招生生源计划,相应确定的一个录取新生的最低成绩(总分)标准。只有高考总分(艺术、体育考生含专业成绩)达到或超过这一分数线的考生(通常称“上线考生”)档案,才有资格被招生高校调阅并选择录取。
最低录取控制分数线一般是分专业类、分批次确定的。专业类一般分为文史、理工,以及音乐(文、理)、美术(文、理)、体育(文、理)以及新高考地区的综合类和物理类、历史类等等,每一专业类又各分为本科提前批、本科一批、本科二批等等。文史、理工各批次的最低录取控制分数线只对文化总分作出规定,音乐、美术、体育专业的最低录取控制分数线则同时针对文化与专业两方面的总分作出规定。
提档分数线
在同批录取的院校中,由于第一志愿报考人数不均衡,按照各院校招生计划、调档比例和考生成绩,各校的最低提档分数并不一样,这就自然地形成了院校的提档分数线。他们的共同特点一般是在同批录取控制分数线以上,而其不同特点是部分院校由于生源充足,其提档分数线高于同批控制分数线,有的院校由于生源不足,提档分数线就只好定到同批录取控制分数线,还有部分院校(专业)提档分数线低于同批录取控制分数线。因此,有的考生高考成绩虽然上了同批录取控制分数线,但由于未达到所报院校的提档分数线,电子档案不能投放,因而参加不了该校的录取,但也有部分学校由于生源不足,而低于某批控制分数线却被录取,就是由于降分的缘故。
调档分数线
投档线只是高校将你的档案提走的最低分数线。一般按120%提档,是为了避免因各种情况录不满留出的选择的余地。而录取分数线是正式被该校录取的最后一名的分数,所以过提档线并不一定被录取,只是很有可能而已。一般录取分数线会高于投档线,如果你的高考分数正好和某校的投档线一样,这并不意味着你一定能被该校录取。二者没有必然的联系,但是高多少分的话还是要看学校的录取人数和分数来定的,这个是没什么规律的。
院校调档线是各高校录取考生时对某地报考该校的考生在文化成绩方面的最低要求。院校调档线是在该批院校最低录取控制分数线的基础上,根据当年考生报考本校志愿情况、分数情况和本校在该地招生计划数确定的,每年都会不同。
高考投档分数线
院校投档分数线是指以院校为单位,按招生院校同一科类(如文科或理科)招生计划数的一定比例(1:1.2以内),在对第一志愿投档过程中自然形成的院校调档最低成绩标准。每一所院校都有自己的投档分数线,简称投档线也称调档线或提档线。
各地招办在投档过程中,将填报了该校志愿且成绩在批次线上的考生档案,按招投总分(含政策照顾分,下同)从高分到低分排序,按院校招生计划的一定比例进行投档,而投档高校的最低一位考生的成绩,就是该校的调档线。通常情况下,调档线往往高于录控线;第一志愿生源不足的院校,其调档线等于录控线。考生的档案能不能投给学校,最关键取决于招投总分是否达到了调档线。
