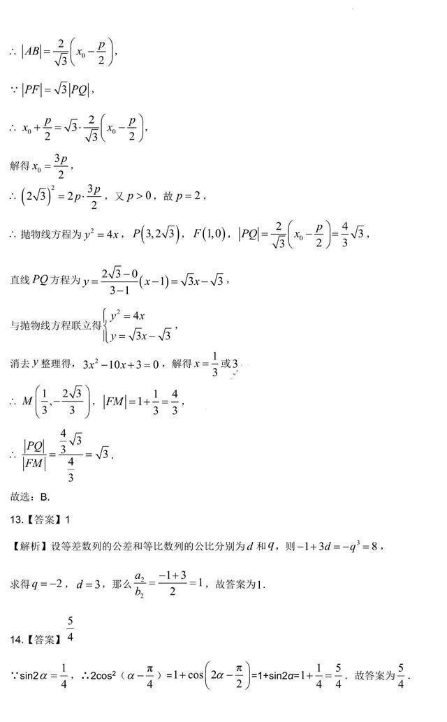
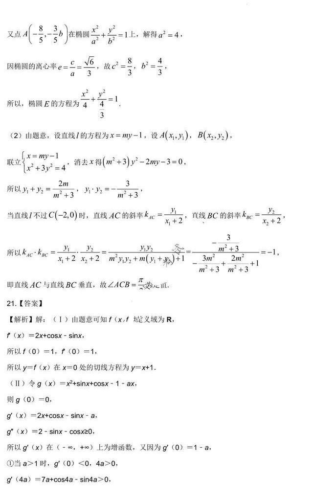
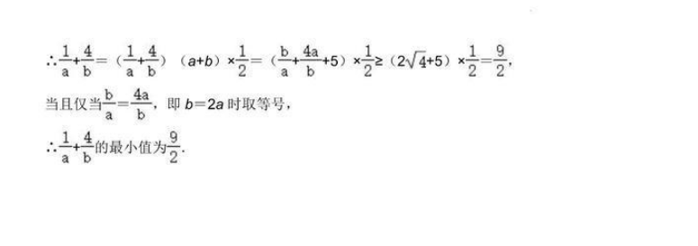
2022高考乙卷数学试卷答案(理科)
推荐文章
2022年高考数学落实立德树人根本任务,促进学生德智体美劳全面发展,体现高考改革的要求。那么2022高考乙卷数学试卷以及答案是什么呢?今天小编整理了2022高考乙卷数学试卷答案供大家参考,一起来看看吧!
2022高考乙卷数学试卷(理科)





2022高考乙卷数学试卷答案(理科)











2022高考乙卷数学试卷分析解读
设置现实情境,发挥育人作用
高考数学命题坚持思想性与科学性的统一,发挥数学应用广泛、联系实际的学科特点,设置真实情境,命制具有教育意义的试题,发挥数学考试的教育功能和引导作用。
设置优秀传统文化情境
数学试卷以中华优秀传统文化为试题情境材料,让学生领略中华民族的智慧和数学研究成果,进一步树立民族自信心和自豪感,培育爱国主义情感。如新高考Ⅱ卷第3题以中国古代建筑中的举架结构为背景,考查学生综合应用等差数列、解析几何、三角函数等基础知识解决实际问题的能力。全国甲卷理科第8题取材于我国古代科学家沈括的杰作《梦溪笔谈》,以沈括研究的圆弧长计算方法“会圆术”为背景,让学生直观感受我国古代科学家探究问题和解决问题的过程,引发学生的学习兴趣。
设置社会经济发展情境
数学科高考以我国的社会经济发展、生产生活实际为情境素材设置试题。如新高考Ⅰ卷第4题以我国的重大建设成就“南水北调”工程为背景,考查学生的空间想象、运算求解能力,试题引导学生关注社会主义建设的成果,增强社会责任感。全国甲卷文、理科第2题以社区环境建设中的“垃圾分类”为背景考查学生的数据分析能力。全国乙卷文、理科第19题以生态环境建设为背景材料,考查学生应用统计的基本知识和基础方法解决实际问题的能力,对数据处理与数学运算素养也作了相应的考查。
设置科技发展与进步情境
数学试卷选取我国科技发展与进步中取得的重要成就作为试题背景,体现数学的应用价值和时代特征,激发青年学生树立为国家服务、奉献科技事业的信念。如全国乙卷理科第4题以嫦娥二号卫星在完成探月任务后,继续进行深空探测成为我国第一颗环绕太阳飞行的人造行星为情境,考查学生综合应用数列、函数、不等式等基本知识观察问题、分析问题和解决问题的能力。
加强教考衔接,发挥引导作用
2022年高考数学依据数学课程标准命题,深化基础考查,突出主干知识,创新试题设计,加强教考衔接,发挥高考试题对中学教学改革的引导和促进作用。
依据课程标准
高考数学命题贯彻高考内容改革的要求,依据高中课程标准命题,进一步增强考试与教学的衔接。试卷的考查内容范围和比例、要求层次与课程标准保持一致,注重考查内容的全面性,同时突出主干、重点内容的考查,引导教学依标施教、施教依标。
试卷突出对学科基本概念、基本原理的考查,强调知识之间的内在联系,引导学生形成学科知识系统;注重本原性方法,淡化特殊技巧,强调通性通法的深入理解和综合运用,促进学生将知识和方法内化为自身的知识结构。全国乙卷第21题考查了分类与整合的思想,全国甲卷第20题考查了数形结合的思想,新高考Ⅰ卷第16题体现了特殊与一般的思想,新高考Ⅱ卷第19题对统计与概率的思想进行了深入的考查。数学试题力图引导中学遵循教学规律、提高课堂教学效果,实现作业题、练习题减量提质。
加强主干考查
试卷在选择题、填空题、解答题三种题型都加强了对主干知识的考查,如新高考Ⅰ卷第12题,要求学生在抽象函数的背景下,理解函数的奇偶性、对称性、导数等概念以及它们之间的联系,对数学抽象、直观想象、逻辑推理等核心素养都有较高的要求。全国甲卷理科第19题,以学校体育比赛为情境,考查概率的基础知识和求离散型随机变量的分布列与期望的方法,实现了对主干知识的深入考查。
创新试题设计
高考数学命题创新试题形式,引导教学注重培养核心素养和数学能力。增强试题开放性,鼓励学生运用创造性、发散性思维分析问题和解决问题,引导教学注重培育学生的创新精神。
在多选题的设计上,进一步增强选项的灵活性,突出对发散性思维和创新性思维的考查。在填空题的答案设计上,给学生较大的思考空间,对知识之间的联系、直观想象等素养作了深入的考查。
试卷创新结构不良问题的设计,有效增强试题的开放性,考查学生创新思维的能力。如新高考Ⅱ卷第21题给出三个条件,要求学生选取两个作为已知条件,证明另外一个成立,给学生提供了选择的自由度和发挥空间,有利于对学生思维水平的考查。
加强素养考查,发挥选拔功能
数学科高考加强学科核心素养考查,强化数学思想方法的渗透,深入考查关键能力,优化试题设计,发挥数学科高考的选拔功能,助力提升学生综合素质。
加强思维品质考查,增强思维的灵活性
数学科高考通过突出思维品质考查,强调独立思考和创新意识。如全国乙卷理科第9题、文科第12题,研究球内四棱锥体积的最大值问题,要求学生有较强的空间想象能力和分析问题能力,将问题转化为三次函数的最值问题,进而利用导数求解。新高考Ⅱ卷第8题对思维的灵活性有较高要求,在抽象的情境中发现函数周期性是问题的关键。全国甲卷理科第20题、文科第21题,考查了直线、抛物线、三角函数、不等式的基本性质以及解析几何的基本思想方法,要求学生在复杂的直线与抛物线的位置关系中,能抓住问题的本质,发现解决问题的关键,选择合理的方法。
加强关键能力考查,增强试题的选拔性
数学科高考设置综合性的问题和较为复杂的情境,加强关键能力的考查。新高考Ⅰ卷第22题重视基于数学素养的关键能力的考查,在数学知识层面、数学能力层面和创新思维层面都有所体现,具有较好的选拔功能。新高考Ⅱ卷第22题将函数、导数、数列与不等式等知识有机结合,考查学生灵活应用函数、不等式思想解决复杂问题的能力,对直观想象能力和逻辑推理能力也有较高的要求。
2022高考乙卷数学试卷答案(理科)相关文章:
