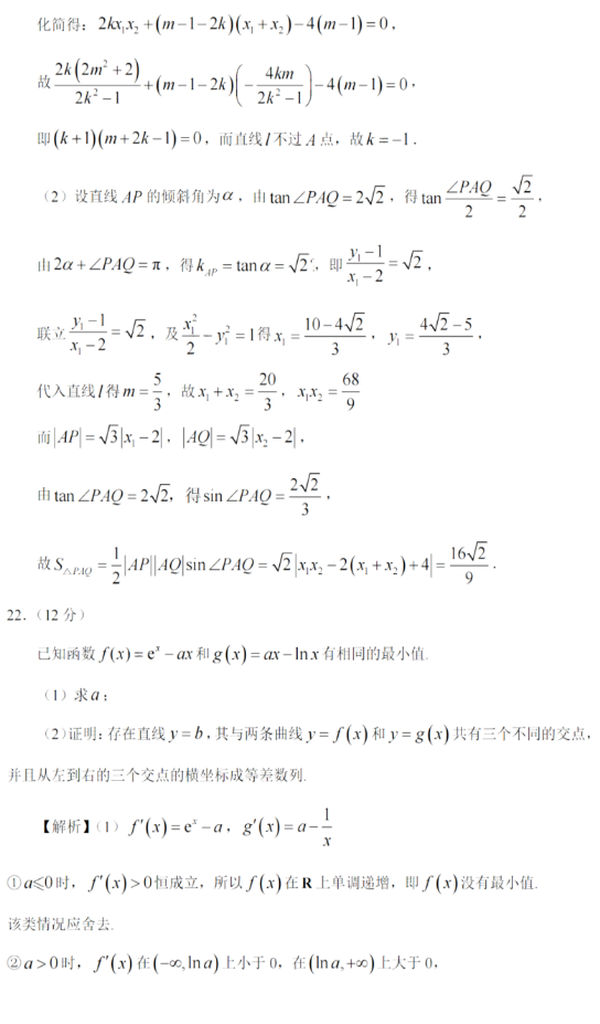
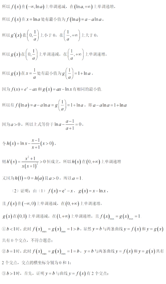
新高考全国一卷数学卷子
推荐文章
高考成绩一般在考后15天到20天左右出来,也有些同学会通过高考试卷来估测自己的分数。下面是小编为大家收集的关于2022年新高考全国一卷数学卷子。希望可以帮助大家。
2022新高考数学全国1卷数学试题




2022新高考数学全国1卷答案解析















高考志愿填报:可以这样准备
笔者曾提醒考生注意要尽早重视高考志愿,并利用自己的业余时间为高考志愿做些准备。那么,各位考生和家长准备高考志愿,究竟要准备些什么呢?下面,笔者结合个人长期研究志愿的经验和接触的考生案例,为考生和家长做一些提示。
一、思想准备
(一)思路保持连贯
这里说的思路连贯指的是,考生在报志愿时要和今后的人生发展相联系。在选择高校时,是毕业以后就准备就业?是考研深造?还是出国留学?这些都应该给予考虑。以毕业后就准备就业为例,在选择学校时就要充分考虑学校的就业率、就业方向和就业质量。对于希望考研深造的考生而言,院校的师资学风就显得特别重要,就读院校的研究生教育质量就是首先要考虑的问题;学校是否设有研究生院;学校的本科学生能否保送外校研究生,保送的比例有多大?对于打算出国的考生而言,你所选择在国内就读的院校在要留学国家的声誉就显得很重要了。一般应选办学历史悠久、师资力量强,在国外权威杂志发表论文比较多,和国外院校交流比较密切的院校。
(二)先进理念指导
1.学生填报志愿选择学校是考生实现自己人生职业生涯规划的一次重要选择。从这点出发,选学校、专业时要和自己的人生职业规划紧密相连,要考虑到今后的发展。既要考虑上大学,更要考虑大学之后的发展,要有前瞻性。上大学是实现自己人生价值的加油站不是终点站,选学校、专业必须要考虑将来的发展。
2.填报志愿是一项系统工程,是多种因素共同作用的结果。这里边有分数因素、学校因素、专业因素、地域因素、就业因素、经济因素、身体等诸多因素。要多种因素通盘考量,考虑的面越宽越好,在不能求全情况下要注意从全局考虑,不能仅考虑其中的一两个因素。上大学要看分,但不能仅凭分数。仅凭分数报的志愿,不会是一个好的志愿。而很多家长和考生填报志愿的误区之一就是过分看重分数因素而忽略其他因素。如,认为凭最低分走进院校的志愿是最好的志愿,否则就是分数浪费。
3.就像天下没有两片相同的树叶一样,从个性心理特征的角度来讲,考生也没有完全相同的考生。由于考生存在着个性差异,再加上兴趣、爱好和潜能的不同因此反映在志愿上忌讳雷同。对于A、B两位都是620分的考生而言,A考生选择的院校和专业对他来讲是一个理想志愿,但对B考生来讲未必就适合。笔者认为一个理想的志愿应当满足以下两个条件:(1)适合你的长远发展。(2)你能够实现。
二、信息准备
搜集信息是填报志愿的一项重要工作,信息掌握得越多越准,就越有可能降低志愿的风险从而填出理想志愿。在做这项准备时要注意:
(一)招生政策
考生在填报志愿前应认真研究国家、省(区市)招生部门颁发的有关招生具体政策和规定。如招生条例、录取体制、投档原则、体检标准、照顾政策及填报志愿细则。了解当年招生政策和上一年相比有什么变化,是否出台了新的举措,这些新的举措会对志愿的走向产生什么样的影响。以所设批次为例,有的省份在本科一批、二批均设A、B段,有的省份只在一批设置A、B段,有的省份不设A、B段,这些都会对志愿走向产生影响。实行平行志愿的省份中,有的实行的是完全平行志愿;有的是部分平行,即第一志愿和第二平行志愿结合;在实行完全平行志愿的省份中有的设3个平行志愿,有的设4个或5个平行志愿。再如院校的招生政策也有差异,如以加分政策为例,有的院校对加分政策是投档承认、分专业也承认即完全承认;有的院校仅是在投档时承认,分专业时按考生实际文化课分数分专业,有加分政策的考生同等条件(同分)下优先录取。这些不同的政策表述,考生和家长在填报志愿前都要认真研读、弄懂弄通,做到合理利用规则,填出理想志愿,寻求自己利益的最大化。
(二)招生形势
了解本省(区市)招生计划和录取比例,如今年考生总数是多少,其中,文史、理工、艺术、体育类考生分别是多少?较往年有什么变化?省内和省外院校在本省共招多少人?其中,文史类、理工类、艺术类、体育类分别招多少人,提前批、一批(重点本科)、二批(普通本科)、三批(联合办学,独立学院等本科)各招多少人?报考数与招生数的比例是多少?这个数字与往年相比是增加还是减少了?增加或减少了多少?这将对今年分数段走向产生多大影响?
(三)分数段
本省(区市)近几年文理科重点、本科、专科最低控制线是多少?自己拟报的学校和专业近三年到五年录取的最高分、最低分、平均分分别是多少?高分考生都选择了哪些专业?分数段较低院校造成低分的原因是什么?是一直比较低还是忽高忽低?这些都必须通盘考虑,并仔细分析。
总之,考生和家长在填报志愿问题上时间越提前,信息越完整,准备越充分越好,从而有效规避志愿风险。
