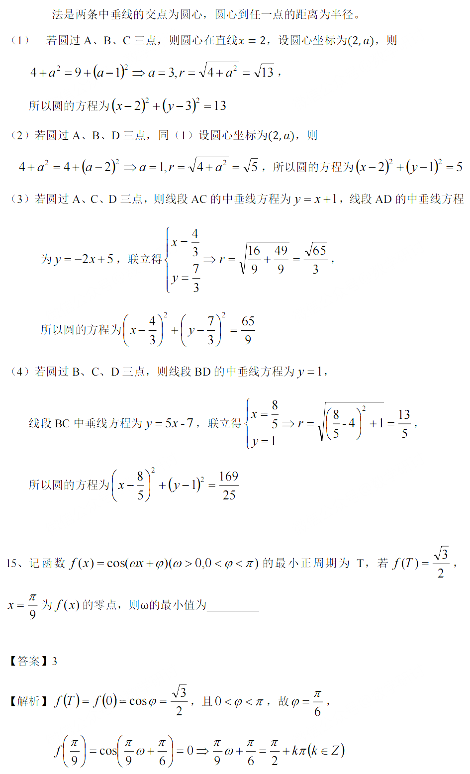
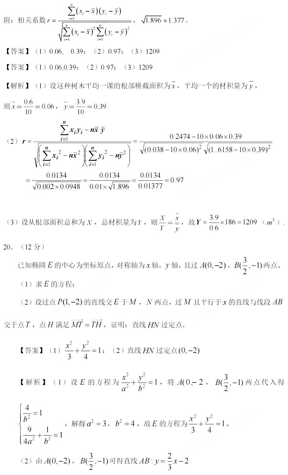
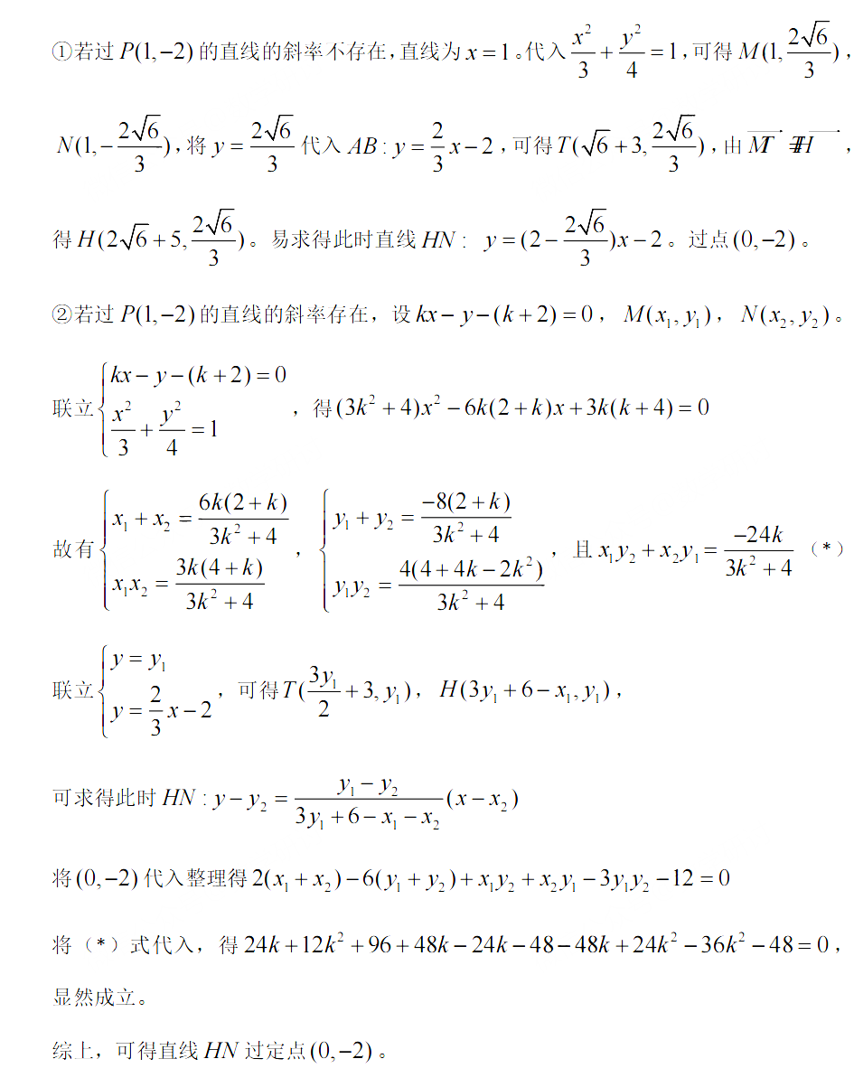
2022年高考全国乙卷数学试卷真题及答案(理综)
高考结束之后,各位考生和家长最想知道的就是考生考的怎么样,有很多考生在考完很着急想要知道试题答案从而进行估分,下面小编给大家带来2022年高考全国乙卷数学试卷真题及答案(理综),希望大家喜欢!
2022年高考全国乙卷数学试卷真题及答案(理综)















高考数学怎样迅速提分
1.带个量角器进考场,遇见解析几何马上可以知道是多少度,小题求角基本马上解了,要是求别的也可以代换,关系。大题角度是个很重要的结论,然后你可以乱吹些上去,最后写出结论。分数get!
2.圆锥曲线中最后题往往联立起来很复杂导致k算不出,这时你可以取特殊值法强行算出k过程就是先联立,后算代尔塔,用下伟达定理,列出题目要求解的表达式,get!
3.圆锥曲线中最后题往往联立起来很复杂导致k算不出,这时你可以取特殊值法强行算出k过程就是先联立,后算代尔塔,用下伟达定理,列出题目要求解的表达式,get!
4.空间几何证明过程中有一步实在想不出把没用过的条件直接写上然后得出想不出的那个结论即可。如果第一题真心不会做直接写结论成立则第二题可以直接用!用常规法的同学建议先随便建立个空间坐标系,做错了还有2分可以得!
5.立体几何中,求二面角B-OA-C的新方法。利用三面角余弦定理。设二面角B-OA-C是∠OA,∠AOB是α,∠BOC是β,∠AOC是γ,这个定理就是:cos∠OA=(cosβ-cosαcosγ)/sinαsinγ。知道这个定理,如果考试中遇到立体几何求二面角的题,套一下公式就出来了,还来得及,试一下吧。
6.数学(理)线性规划题,不用画图直接解方程更快
7.数学最后一大题第三问往往用第一问的结论
8.数学(理)选择填空图形题,按比例画图有尺子量,零基础直接秒,所以尺子真有用唉
9.数学选择不会时去除最大值与最小值再二选一,老师告诉我们的!高考题百分之八十是这样的
10.超越函数的导数选择题,可以用满足条件常函数代替,不行用一次函数。如果条件过多,用图像法秒杀~不等式也是特值法图像法~
填报高考志愿的技巧
高考志愿报考我们会采用“省位次”方法挑选大学,即是用高考成绩排名来对比院校招生数据来选择大学,那我们就需要查找院校近三年招生最低分排名数据,很多考生和家长并清楚如何找这个数据,老师推荐两个方法。
第一个方法去所在省份教育考试院查找,在这里,你可以找到所有你想要的招生数据;第二个方法直接在网上搜索“某年某省份本科批院校投档线”,甚至你可以找出别人统计好的院校近三年招生数据;因此查找数据比较简单,大家千万不要傻傻地掏钱买数据。
