2022年高考全国乙卷(理科)数学完整试卷及答案
推荐文章
普通高等学校招生全国统一考试是为普通高等学校招生设置的全国性统一考试,每年6月7日-10日实施。下面小编给大家带来2022年高考全国乙卷(理科)数学完整试卷及答案,希望大家喜欢!
2022年高考全国乙卷(理科)数学完整试卷及答案




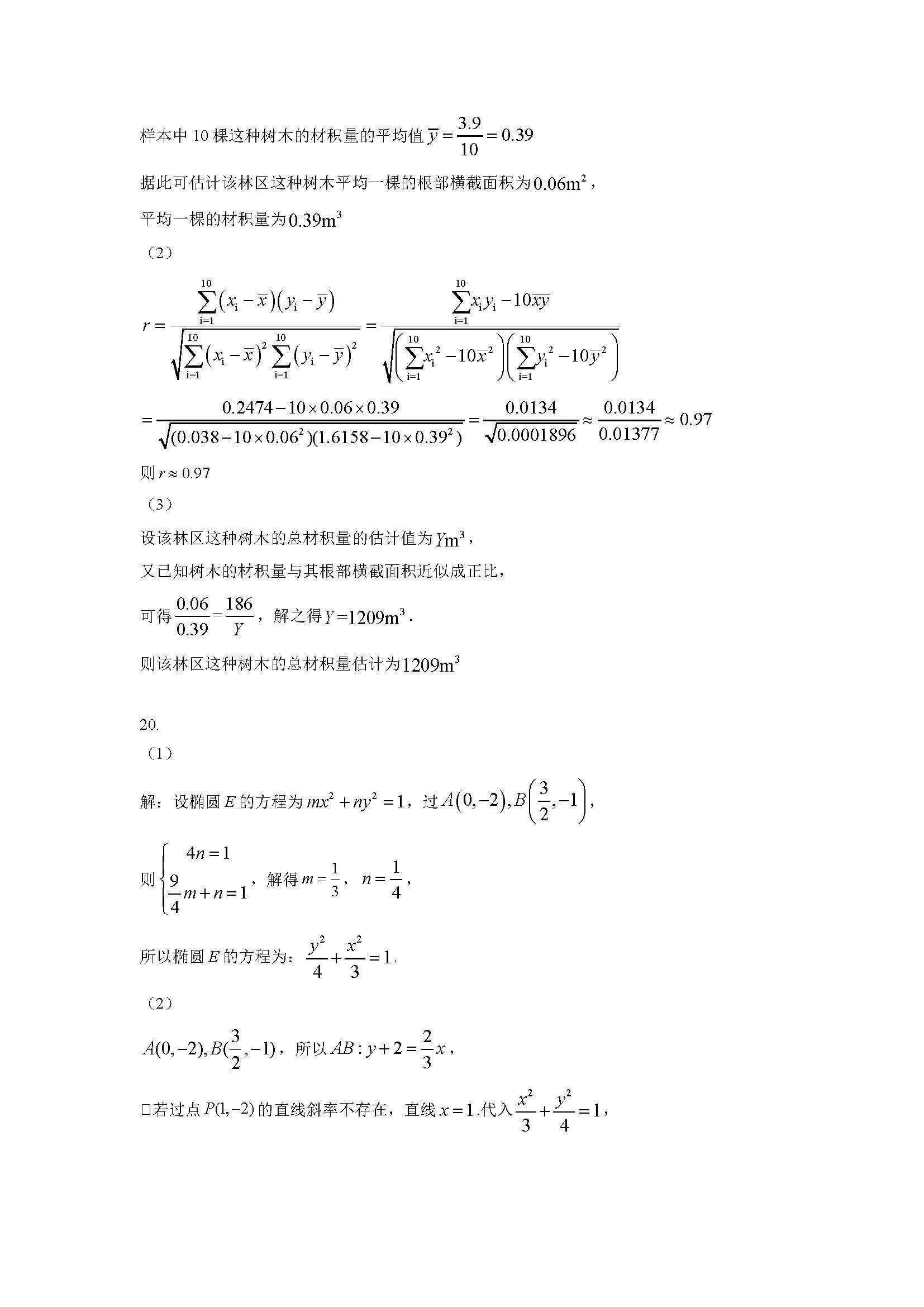
2022年高考全国乙卷(理科)数学答案









怎么提升数学成绩
数学的基本概念、定义、公式,数学知识点的联系,基本的数学解题思路与方法,是第一轮复习的重中之重。回归课本,先对知识点进行梳理,把教材上的每一个例题、习题再做一遍,确保基本概念、公式等牢固掌握,要扎扎实实,不要盲目攀高,以免欲速则不达。复习课的容量大、内容多、时间紧。
要提高复习效率,必须使自己的思维与老师的思维同步。而预习则是达到这一目的的重要途径。没有预习,听老师讲课,就抓不住老师讲的重点;而预习了之后,再听老师讲课,就会在记忆上对老师讲的内容有所取舍,把重点放在自己还未掌握的内容上,从而提高复习效率。同时预习还有利于培养自己的自学能力。
上完课的当天,必须做好当天的复习。复习的有效方法不是一遍遍地看书或笔记,而是采取回忆式的复习:先把书,笔记合起来回忆上课老师讲的内容,例题;分析问题的思路、方法等(也可边想边在草稿本上写一写)尽量想得完整些。
然后打开笔记与书本,对照一下还有哪些没记清的,赶紧补完,这样不仅能把当天上课内容巩固下来,而且也能检查当天课堂听课的效果如何,同时也可改进听课方法及提高听课效果。我们可以简记为一分钟的回忆法。
学好数学要做大量的习题,但做了大量的题,数学都未必好,为何会出现这种反差呢?究其原因,是片面追求做题数量,而没有发挥做题的效果。进入复习阶段后,大量的试题铺天盖地而来,这时我们一定要保持清醒的头脑,要有所为,有所不为。
数学试卷答题时间如何分配
1、充分利用考前5分钟
很多学生或家长不知道,按照大型的考试的要求,考前五分钟是发卷时间,考生填写准考证。这五分钟是不准做题的,但是可以看题。发现很多考生拿到试卷之后,就从第一个题开始看,给大家的建议是,拿过这套卷子来,这五分钟是用来制定整个战略的关键时刻。之前没看到题目,你只是空想,当你看到题目以后,你得利用这五分钟迅速制定出整个考试的战略来。
2、进入考试先审题
考试开始后,很多学生喜欢奋笔疾书;但切记:审题一定要仔细,一定要慢。数学题经常在一个字、一个数据里边暗藏着解题的关键,这个字、这个数据没读懂,要么找不着解题的关键,要么你误读了这个题目。你在误读的基础上来做的话,你可能感觉做得很轻松,但这个题一分不得。所以审题一定要仔细,你只有把题意弄明白了,这个题目才有可能做对。会做的题目是不耽误时间的,真正耽误时间的是在审题的过程中,在找思路的过程中,只要找到思路了,单纯地写那些步骤并不占用时间。
3、节约时间的关键是一次做对
有些学生,好不容易遇到一个简单的题目,就一味地求快,争取时间去做不会做的题目。殊不知,前面的选择题和后边的大题,难易差距是很大的,但是分值的含金量是一样的,有些学生看不上前边小题的分数,觉得后边大题的分数才“值钱”,这是严重的误区。希望学生在考试的时候,一定要培养一次就做对的习惯,不要指望通过最后的检查力挽狂澜。越是重要的考试,往往越没有时间回来检查,因为题目越往后越难,可能你陷在里面出不来,抬起头来的时候已经开始收卷了。
