2022年全国新高考Ⅰ卷数学真题及答案
参加高考的对象是全日制普通高中毕业生和具有同等学历的中华人民共和国公民,招生分理工农医(含体育)、文史(含外语和艺术)两大类。下面小编给大家带来2022年全国新高考Ⅰ卷数学真题及答案,希望大家喜欢!
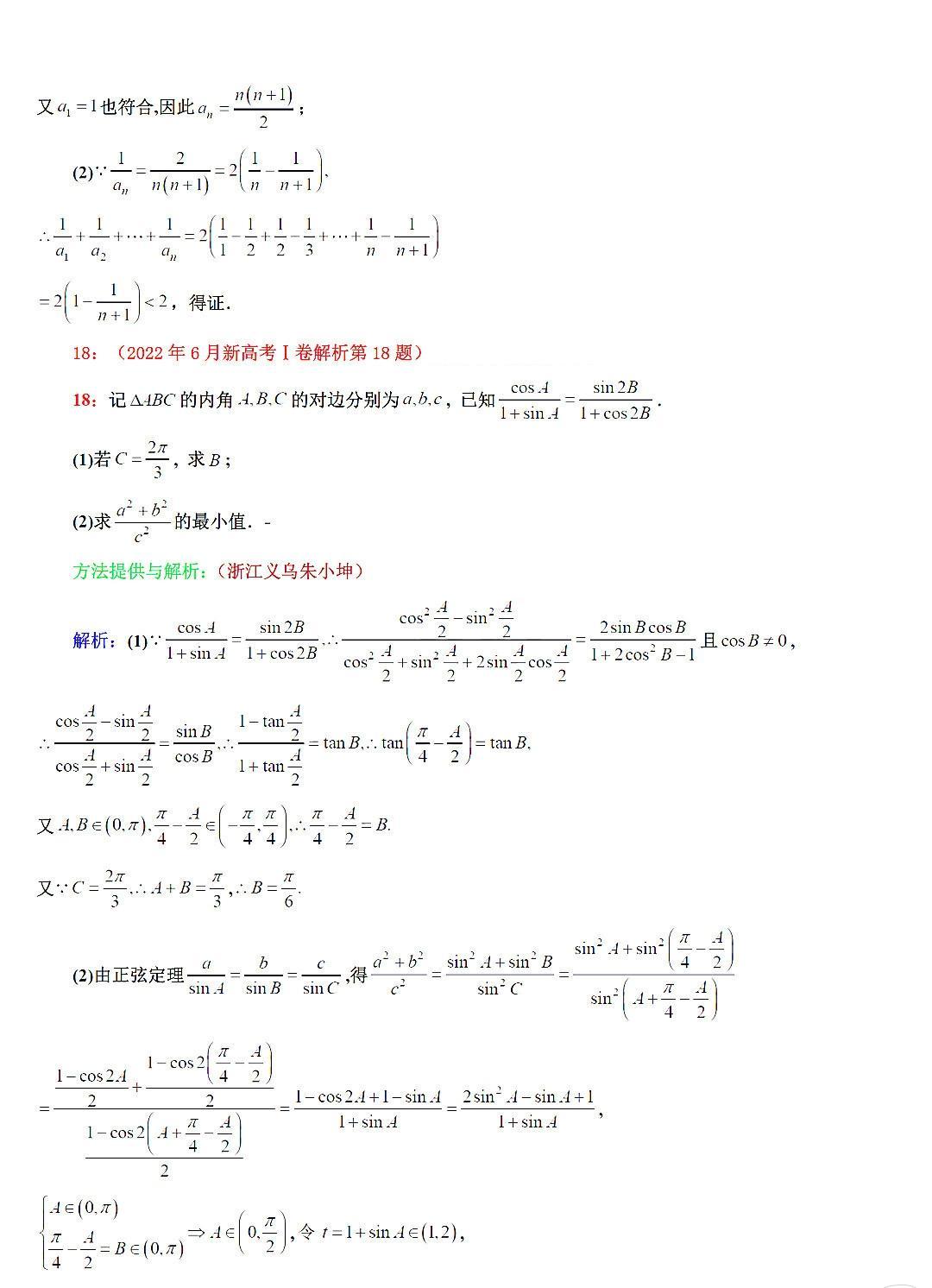
2022年全国新高考Ⅰ卷数学真题及答案

















高考填报志愿的方法
一、高考志愿填报注意考生未来职业选择和方向
考生及家长在填报高考志愿时要结合自己的高考分数和兴趣爱好综合考量之后再进行选择,确定好报考专业的范围和培养目标,并对自己的未来职业生涯和规划有一个准确的认识。
二、掌握一些高考志愿填报的系统知识
高考志愿对于考生来说的重要作用并不次于高考,高考志愿的填报决定了未来被哪一个专业录取,以及毕业以后的工作选择和方向。因此考生和家长需要多方了解高考志愿的系统,掌握其中的各方面信息和渠道,参考一些准确的信息,运用科学的方法进行合理决策并成功填报高考志愿。
三、高考志愿填报要选择好院校和专业顺序,并决定是否服从调剂
考生在填报高考志愿时的排列顺序是:院校、专业、是否调剂。在院校的顺序选择上一般是吧最喜欢并且最想要报考的排在最前面的志愿;专业顺序的选择也是把自己想要报考的专业并且比较有优势地位的专业排在前面一些;对于是否服从调剂的问题要结合自身的高考分数,不要过高估计自己的分数,但是也要合理确定院校分数线。
平行志愿和顺序志愿
平行志愿
指考生在填报高考志愿时,可在指定的批次同时填报若干个平行院校志愿。
模式特点:按考生成绩从高到低进行排序,分数高的学生先投档。某一个考生投档时,先看其成绩是否够A院校提档线;如不够,再看B院校;如此类推,直到检索到考生分数符合的志愿院校后,将其投档至该院校。
填报须知:检索考生填报的院校志愿时,是按逻辑顺序即A、B、C、D......院校依次进行的。当考生总分符合首先被检索的A院校投档条件时,且A校有计划余额,该生即被投到A院校。填报时,应在各志愿院校之间拉开适当梯度。
顺序志愿
在同一个录取批次设置的多个院校志愿有先后顺序,每个志愿只包括一所院校。
模式特点:把考生的高考志愿作为录取投档的第一要素,最大程度满足考生的志愿要求。投档时对选报同一志愿院校的考生按院校确定的录取原则、调档比例从高分到低分进行投档。
填报须知:选报同一志愿院校的考生,按院校确定的调档比例从高分到低分进行投档,第一志愿录取结束后再进行第二志愿投档录取。例如考生将A校放在第二志愿,如果A校一志愿已经招满且不预留招收二志愿的名额,那么无论该生分数多高,档案都不会投向A校。
