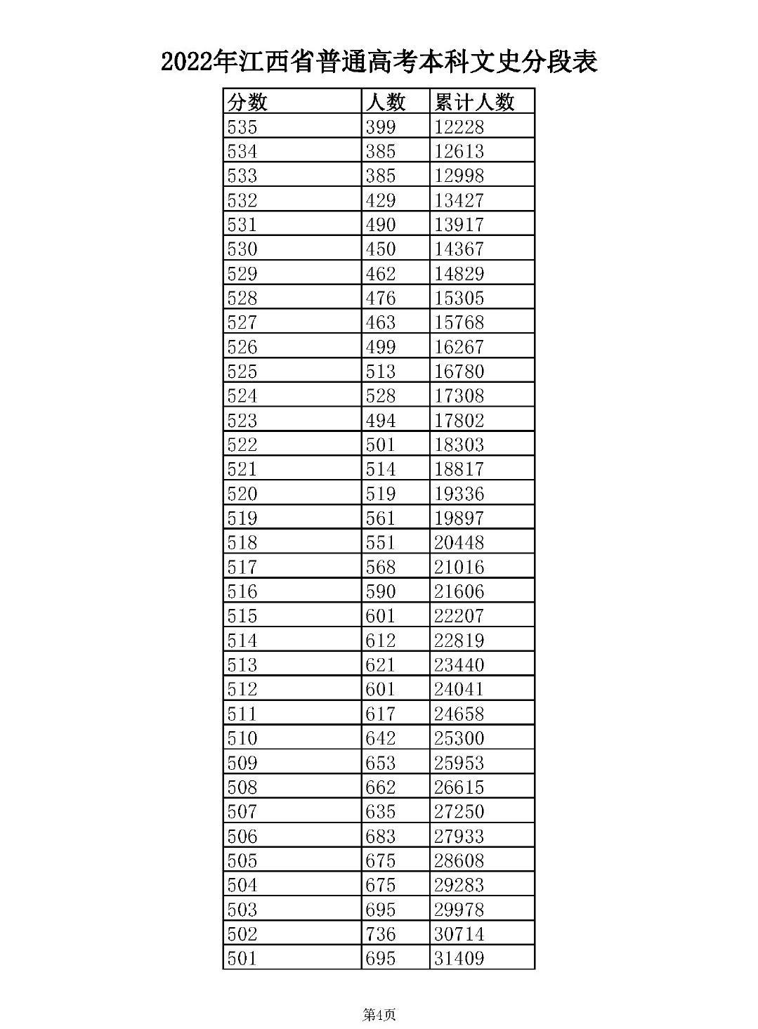
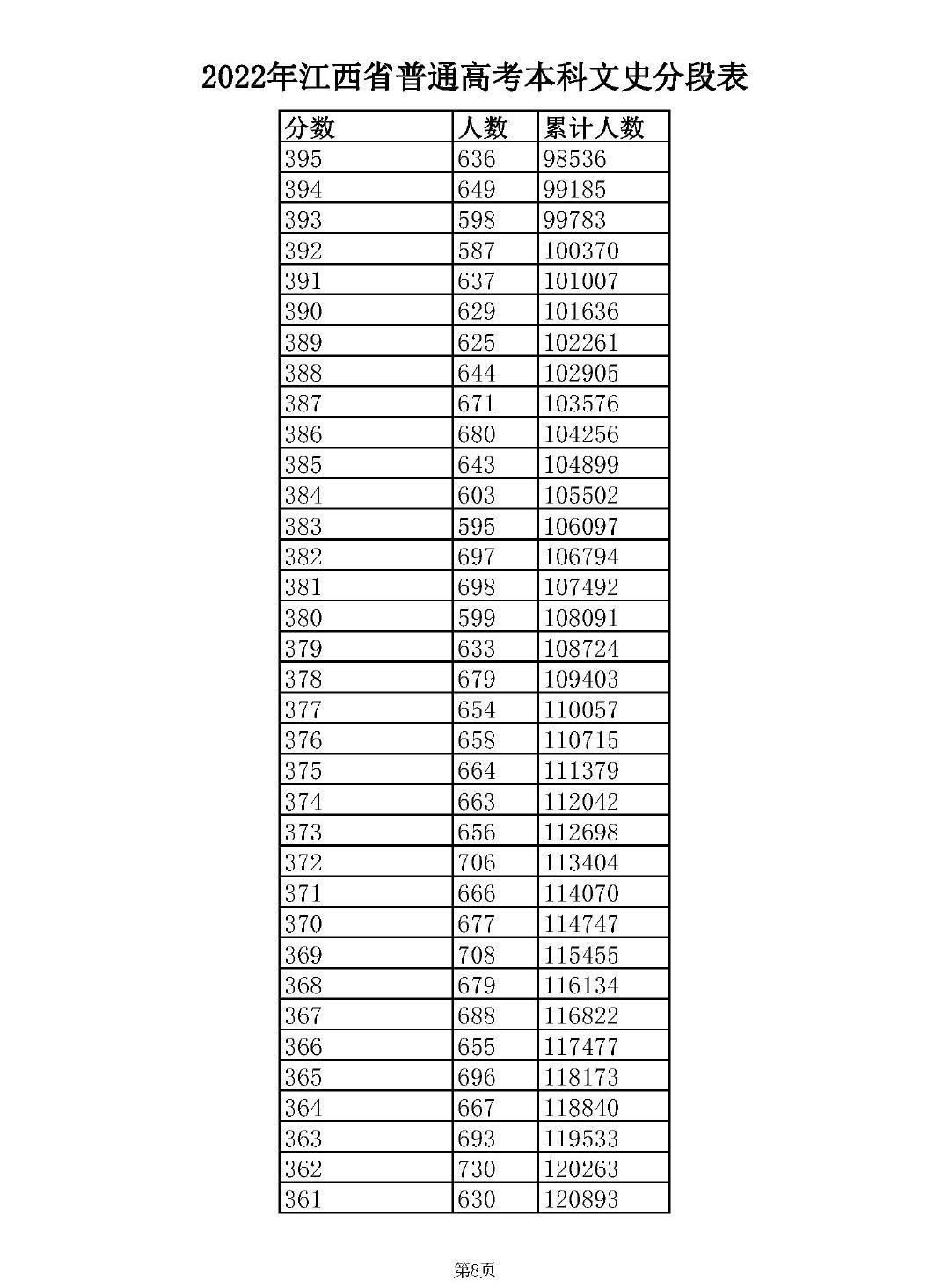
2022年江西省文科高考一分一段分段表一览
推荐文章
一分一段是高考结束之后大家最关心的东西,毕竟能不能上大学,能上什么大学看的就是一分一段了。下面是小编为大家收集的关于2022年江西文科高考一分一段。希望可以帮助大家。
2022年江西文科高考一分一段









十大专业就业前景展望,复合型人才更能抢占先机
没有永远的热门专业,也没有永远的冷门专业。当今世界,科技发展速度非常快,国际化程度越来越高,就业市场风云变幻,没有人能准确断定,三五年后什么专业是热还是冷。在解读《国家中长期科学和技术发展规划纲要(2006-2020年)》、《国民经济和社会发展第十一个五年规划纲要》等重要资料的基础上,教育专家们试图对未来几年各大专业的就业前景进行分析,以供考生和家长填报志愿时参考。
1.纯文、理专业掌握技能助就业
文科类毕业生(、如文、史、哲专业)就业困难,由于社会对这类人才的需求有限,而且此类学科专业技能不强、替代性比较大,所以这些专业的学生就业受到限制。同样的问题也出现在着重基础研究的纯理科专业毕业生身上。
因此,文科类专业的学生不能只是简单掌握文案写作技能,还应掌握其他一些技术,如计算机知识、经济学知识、外语等,方能胜任未来相对要求较高的工作岗位。在择业过程中,除了关注传统的求职项目,如企业行政助理、文秘等工作岗位之外,也应注意到媒体、出版、广告、市场营销等工作岗位的人才需求量比较大,文科生比较占优势。而对做基础学科研究的纯理科专业的学生来说,如果平时善于积累,在热门行业也有后天优势:基本功扎实,入手快。这些专业的毕业生也可向相关热门转向,比如转向IT、金融、教育等行业。
2.师范类专业区域供求不均衡
调查显示,工作的稳定性和自主性、待遇节节拔高等促使教师成为最受欢迎的职业之一。从大城市的就业状况来看,师范类学生的供求量趋近平衡,其中民办教育机构(包括培训机构)对师范类人才的需求量占了很大比例。而在师范类各专业中,需求较大的专业有教育学、特殊教育、教育技术、数学、汉语言文学、英语、日语、物理、计算机等专业。
由于我国教育政策的调整,近几年民办学校、职业学校大量兴起,这使得师范生就业机会增多,又在教育系统内为毕业生拓宽了就业市场。但不容忽视的是,我国中西部面临优质师资匮乏、基层教育系统缺少编制的现实情况,而大城市教师职位日渐饱和,不可能再接收大量毕业生。因此,在普教系统就业面临较大的竞争和压力。近两三年来,中西部省会城市及一些经济发达地区的二线甚至三线城市成为师范类毕业生求职的热点地区。
从国家免费师范生政策的实施可以看出,中西部对师范人才的需求很大。因此,未来几年师范类毕业生也应当转变观念,更多地将注意力投放到中小城市和中西部地区,在那里展现风采,实现人生价值。
3.外语类专业就业去向多元化
随着中国与世界的交流逐渐深入,特别是北京奥运会之后,我国对外语类人才的需求旺盛,应该说其就业前景是乐观的。从近几年需求情况看,需求量最大的是英语、日语。
此外,俄语、德语、法语、西班牙语、意大利语的需求也较大。这些语种的毕业生就业较为容易,高层次的外语人才供不应求。有专家预测,小语种将走向热门。
近年来,外语类毕业生去向已完全呈现多元化态势,除了传统的外交外事领域,越来越多的毕业生到金融、通信、传媒、咨询、体育、物流等领域就业。就业领域的扩大无疑意味着就业机会的增加。那些具有扎实的语言功底,同时具备金融、法律、经贸、外交、新闻、中文等知识背景的外语类毕业生,契合社会对于复合型人才的需求,直接推动着外语类人才培养模式的变革。
4.法学专业持证上岗是必然
从近几年的国家公务员录用可得知,政府部门对法学专业毕业生的需求依然旺盛。
从绝对数量上来说,我国对该专业的人才需求较大,特别是涉外专业的人才。立法机关、行政机关、司法机关、仲裁机构每年都要从应届毕业生中招聘法学专业的学生,而企业对法学专业的人才也越来越重视,中国的律师行业更急需补充大量高素质的律师人才。但近年来法学专业毕业生在就业方面有相当的压力:一是社会上对法学专业毕业生的学历要求越来越高;二是该专业毕业生人数激增。
因此,近年来法学专业毕业的本科生就业状况并不乐观,这一状况将持续一段时间。法学专业的研究生也将开始面临一定的就业压力,参加司法考试取得资格证书成为共识。
5.农林类专业创业实现自我
近几年来,国家对农业十分重视,不断加大投入。另外,政策方面也不断传来“利好”消息,产业结构的战略性调整和人们对生存环境的重视给农林类专业发展带来了曙光。因此,虽然农林类毕业生目前总体就业形势不如其他专业,但可以看到,今后几年该专业毕业生将会日益走俏。
在农林类各专业中,社会需求量大小不一。选准有发展前景的专业十分重要。未来需求较多的将有农业经济、畜牧、兽医、动物营养与饲料加工、木材加工、家具设计与制造、森林道路与桥梁、园林、林产化工等专业。
另外,农林类专业毕业生还有另一条广阔的就业之路,那就是到农村基层创业。到基层自办实业,积极创业,同样可以实现自我价值,而且更富有挑战性和创造性。
6.机械类专业前沿人才供不应求
机械类大部分专业毕业生在人才市场上仍然“热销”。国家近几年加大力度强化装备制造业,鉴于机械行业的重要性和庞大规模需要一支庞大的专业人才队伍,今后一段时间内,社会对机械类人才仍会有较大需求。具有开发能力的数控人才将成为各企业争夺的目标,机械设计制造与加工专业人才近年也供不应求。
从当前机械行业的发展来看,印刷机械、数控机床、发电设备、工程机械等重头产品前景仍然看好。除了这些传统工业领域,该行业将进一步向机光电一体化发展,向光加工、环保这样的新兴领域拓展。
7.经济类专业需求热度不减
市场营销类职位是人才市场需求榜上不落的冠军,从有关统计数据推测,销售类人才未来几年需求量仍然热度不减。
在收入调查中,金融业整体薪金水平总是在众多行业中排名靠前,金融业高薪引才。这与金融业的人才需求和其不断调整及推出的增值服务有关系,一些新兴的金融服务机构也逐渐成为吸纳金融人才的大户。
经济类专业,尤其是金融、财会类毕业生,要与时俱进,熟悉国际会计、商务惯例,具有必要的国际社会文化背景知识,不断拓宽视野,立足现代市场经济新领域,掌握现代管理学新知识,逐步把自己锻炼成为既懂经营又善管理的复合型人才。学生除了要具备熟练的常规业务能力之外,还要认真学习与专业相关的财政、金融、税务、审计、统计等方面的知识,努力提高自身预测、决策、控制、抗风险的能力,提高投资、融资等财务决策的质量,完善经营管理。总之,这些专业的学生在未来有较多的选择,除了人们所熟知的会计、审计、税务等工作外,从业领域还有很多。
8.建筑类专业就业前景依然乐观
虽然近期房地产业面临系列压力,但在人才市场上,与房地产相关的专业,包括建筑、设计、策划、销售等人才需求仍然较旺。
随着国家和各地对基础设施投资力度的加大,建筑类和房地产专业毕业生就业前景依然乐观。
尤其是近两年来,路桥建设等相关专业开始升温,这使路桥规划人员变得畅销起来。用人单位表示,这主要与制造业升级换代及目前城市基础设施建设力度加大有关。制造业升级换代急需补充新鲜血液,基础设施建设力度加大则急需专业人才。
9.医学类专业特殊领域潜力无限
随着医疗体制改革的不断深化,将会有更多的私立医院,这使医学类专业的学生更为抢手。而且,由于人们工作、生活的压力不断增大,患病率也在增加,现有的医疗系统不能完全满足社会的需要,这就形成了医疗行业的卖方市场。所以,医学类专业人才将会越来越吃香。据有关部门分析,将来从事老人医学的人才将走俏,保健医师、家庭护士也将成为热门人才。另外,专门为个人服务的护理人员的需求量也将增大。
10.艺术类专业需求层次不断提升
传统的美术、音乐、表演等专业已经渐渐显露出就业面狭窄等问题。
传统艺术正与计算机技术、工业、建筑、管理等学科不断交叉,衍生出许多新的专业,这些专业也相应地成了近年来的热门。目前,广告设计、工业设计、建筑设计、环境艺术设计、公关策划、动漫制作、游戏策划、游戏设计等专业人才紧缺。
艺术专业正朝多学科综合的方向发展,实用艺术的应用范围越来越广。不懂物理和建筑,就无法搞建筑、装潢设计;不懂计算机就做不出数字化影音作品。文化课严重缺失的“跛脚”毕业生就业压力必然不小。
就业地域要考虑未来方向更重要
北京师范大学的王老师提醒大家,在权衡各种因素的时候,要根据自己的个性、兴趣以及长远计划来作选择。
如果想直接在本科后就业,则需要考虑地域的因素。选择东部、南部经济发达省份的高校或者大城市的高校,对未来就业更有利。如果这些地方的二本院校分数太高,可以在周边省份先打好“埋伏”。比如想在北京就业,可以选择天津、河北的高校;如向往上海,则要在江苏、浙江的院校上动脑筋;如果想到广东,可以考虑湖北、湖南的高校,它们一向有“南下”的传统。这些都要认真考虑周全。
不过要提的一点是,现在大学生都普遍希望能够继续深造,攻读硕士、博士。因此本科院校“一锤定终身”的说法并不可靠,学生可以通过在四年后努力考研得到更优秀大学深造的机会,或者还可以考虑出国攻读学位。本科阶段只是打基础,很大程度上看自己的学习态度和学习用功程度。如果考上了理想的研究生,则本科就成了过渡阶段,因此学风好、重基础的二本院校则是上上之选。许多重点高校很排斥某些地区的某几个二本大学中的“考研大户”,但是不得不承认这些学校的确是在学生身上下了不少功夫去引导推动。
两位老师都表示,“二本”这个称呼对有些同学是遗憾、无奈之选,而对很多同学是首要目标。其实学校并无“一”、“二”之分,只要你认真学习,在哪里都可以获得发展。同学们报考的时候不要盲目地追求大学排名,更重要的是听取多方意见,多从历史渊源、专业特色、社会评价等方面去了解,最后根据自己的分数来报考。不要一提二本就皱眉头,填志愿时垂头丧气,全不知这些学校也有许多精彩之处。
2022年江西省文科高考一分一段分段表一览相关文章:
