2022年云南高考一分一段
推荐文章
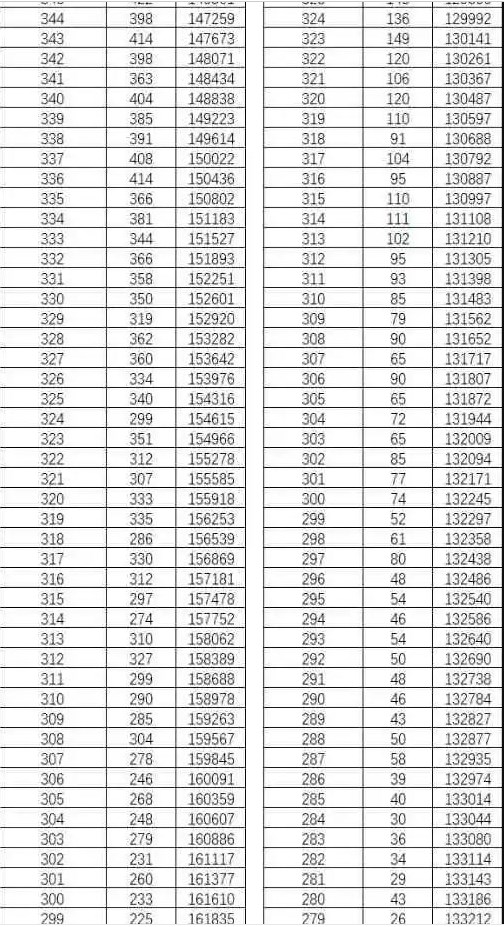
在“知分、知线、知位”情况下,考生可以根据目标院校的录取情况、招生计划,结合自己的高考成绩及全省排位,科学填报志愿。以下是小编整理的2022年云南高考一分一段一览,欢迎大家借鉴与参考!
2022年云南高考一分一段












高考志愿填报顺口溜
一字之差不相同,一般高校有重点,名校专业有一般,硕士点和博士点。
重点学科应优选,结合兴趣定专业,职业规划应提前,无非就业和考研
专业志愿冷热配,首尾专业认真填,录取规则分三种,专业排序有不同。
多方斟酌避风险,欲想考取热专业,须看院校专业线,体检结果莫忘记。
专业限制看仔细,加分减分学校异,跟着招生章程走,志愿才能不失手。
不论专业与学校,前面报的比后好,前热后冷有梯度,前高后低如楼梯。
志愿该如何填报
在这种模式下填报志愿时,考生们可以自由搭配学校和专业的组合,不用再跟以往一样要在同一个学校下填报几个专业。并且这96个志愿并不需要全部填完,各位同学还是需要根据自身选择填报数量。
同学们可以将不同学校的不同专业同时填报,如要想要填报学校A的专业1和学校B的专业2,则需要在填报志愿时填写为“专业1+学校A”、“专业2+学校B”。
也可以同时填报不同专业的相同学校,例如想要填学校A的专业1和学校A的专业2的话,则需要在填报志愿时填写为“专业1+学校A”、“专业2+学校A”。
还可以填报相同专业的不同学校,例如想填某个专业的不同学校,如学校A的专业1和学校B的专业1,则需要这样填“专业1+学校A”、“专业1+学校B”。
值得非常注意的是原来模式下考生被投档到院校后,可能被调剂到该院校的其他专业;“专业(专业类)+学校”的模式下,考生直接被投档到了学校的具体专业上,不存在专业调剂。
高考什么专业好就业
金融专业
金融专业一直被调侃是有钱人学的专业,其实不然,只是若你选择了该专业,未来拥有高薪的几率会相对较高。若能够吃苦的话,选择金融专业的薪资待遇和就业前景还是非常不错的。
行政管理学专业
毕业生可从事党政机关、事业单位的行政协理员,办公室主任、行政主管;在工商行政管理部门、涉外经济管理部门、经济监督检查等管理部门从事政策和法规研究及实际工作;在企业从事前台秘书、行政主管、行政总监、总经理助理等职。
财务管理
财务管理专业毕业后,负责企业或单位的财务活动,处理公司的财务关系。然而,在当今高度竞争的环境下,财务管理已经成为越来越多企业的核心。
会计专业
会计专业毕业生可胜任各类工业企业、商品流通企业、服务业、金融保险机构等部门或单位的出纳、会计核算、纳税申报、内部审计、财务管理、物资管理、柜员、客户经理等工作;也可从事会计师事务所、代理记账公司、财务公司的会计师助理、代理记账、会计咨询服务等职位。
旅游管理专业
旅游管理专业毕业生可从事旅游行政管理部门、旅行社、旅游景区、旅游咨询公司、旅游电子商务企业、旅游规划策划机构、主题公园的旅游经济管理和企业管理工作;或旅游行业的自主创业、任聘于乡村旅游企业等。
计算机科学与技术专业
如果能学好网站维护,软件周边,或者多媒体,好学编程语言,或者网站开发语言,或者PS、flash、3Dmax等软件,并在大学期间获得一些资格证书,毕业后一般能找到不错的工作。
2022年云南高考一分一段相关文章:
