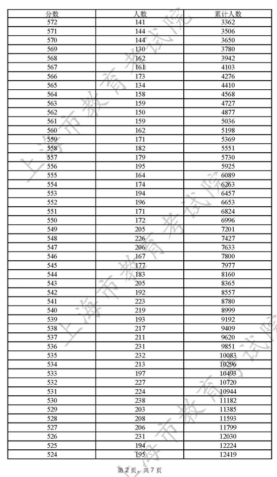
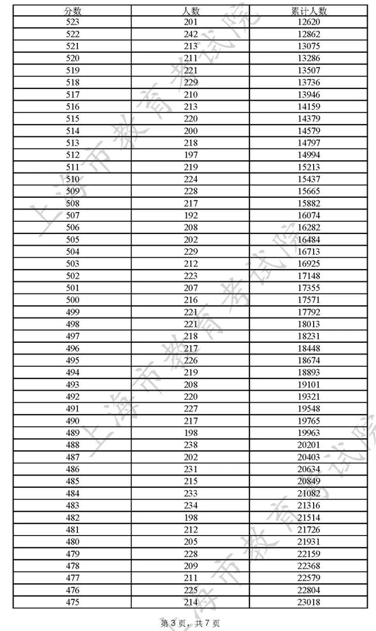
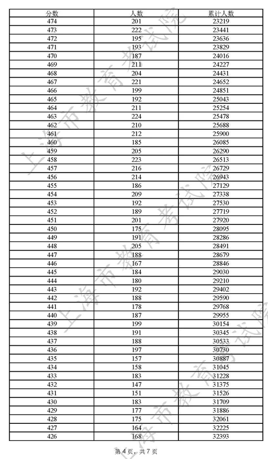
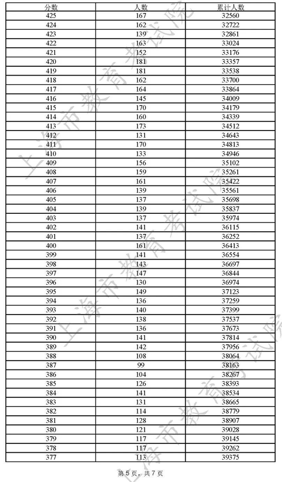
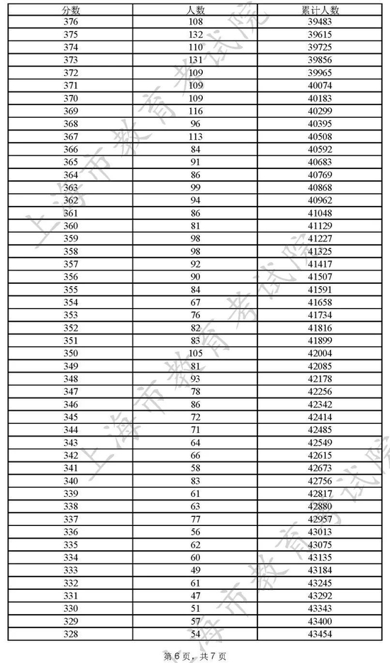
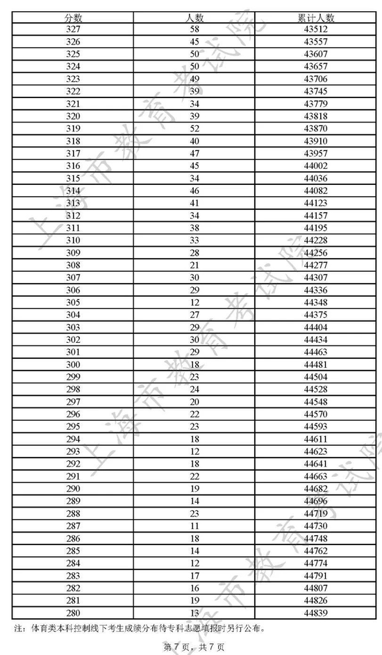
2022上海高考分数一分一段表
2022年7月23日,上海高考分数线出炉了,同时一分一段表也在上海市考试教育院网站发布,具体怎么样呢?今天小编整理了2022上海高考分数一分一段表供大家参考,一起来看看吧!
2022上海高考分数一分一段表







一分一段表有什么用
一分一段表一般是指高考人数和分数的统计表。通过一分一段表可以知道,本省所有文科/理科考生,在某一分数上,同分值的人数有多少,还有就是截止到某分数值,一共累计有多少人。
根据一分一段表去填报志愿,把握要大得多。各高校在招生录取时,会根据学生的排名进行依次检索。比如,这多大学的招生计划为50人,它会从高分到低分,检索学生的志愿,检索到第50个人(如果按1:1招生),这个人的分数便是录取分数线。因此,各高校是根据学生排名而非高考成绩进行录取的,此时便体现出了一分一段表的重大作用。
一分一段表怎么换算位次
在使用一分一段表时,应该对比近三年来的“一分一段”表,而不是单一使用某一年的一分一段表。看看所想要填报的大学连续三四年的最低录取分数线在哪个段位(即高出所在批次多少分),若自己的分数比至少两年的段位高,那报考该校把握较大。
考生在对照高校往年录取分数线时,应以对比人数位次为主,若所在位次高于往年该校在本省录取分数位次,则说明报考有希望。
以考生位次为4462为例,假如某所大学的历年招生位次区间是4000-10000,那么考生的位次处于这所大学位次区间的上部,这所大学可以作为保底院校。
假如某所大学的历年招生位次区间是2000-8000,那么考生的位次处于这所大学位次区间的中间,这所大学可以作为比较稳妥的院校填报。
假如某所大学的历年招生位次区间是1000-5000,那么考生的位次处于这所大学位次区间的下部,这所大学的录取可能性就比较低了,可以作为冲一冲的院校填报,当然也可以冲刺大学招生最低位次在4000左右的院校。
简单来说,如果考生的位次与院校或者专业以往几年录取分数的位次大致相当,或者就在录取考生位次范围以内,则报考这些院校或者专业把握性较大。
如何用好分段统计表
了解自己
填报志愿最关键的第一步,是在“分段统计表”中查找与自己成绩相对应的分数排名,以及这一位次的成绩共有多少考生,以此来确定个人成绩在全省的位置。一定要参照最近三年的同分数一分一段位次,结合往年情况综合评估自己的成绩处于什么水平。
评估学校
查一下自己的目标院校在近三年的录取分数是多少,该院校近三年的录取分数对应当年“分段统计表”中的位置,同时,留意该院校在近年的招生人数的变化,参照今年的招生计划人数,综合判断自己今年的位置是否能够被目标院校录取。
综合评判
将上面两个情况判断清楚后,结合目标院校及录取分数相近院校在近年的招生人数的变化,参照今年目标院校和录取分数相近院校的招生计划人数,综合判断自己今年被目标院校录取的可能性。
2022上海高考分数线
本科录取控制分数线400分;
特殊类型招生控制分数线503分;
艺术类本科文化控制分数线300分;
体育类本科文化控制分数线280分。
2022上海高考分数一分一段表相关文章:
★ 上海等级考是什么
