云南省2022高考分数线一分一段表公布啦
时间转瞬即逝,云南省2022年高考分数线一分一段表已经出来了,不晓得同学们都查看了吗?以下是小编为大家带来的云南省2022年高考分数线一分一段表公布啦,希望您能喜欢!

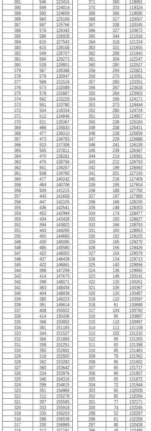
云南省2022年高考分数线一分一段表公布啦







高考后女生可以做什么
1、谨慎填报志愿
选择志愿的重要性不亚于高考,因为志愿的选择决定着我们的职业规划,间接的决定着我们以后的发展,所以填报志愿是非常重要的,我们在这段时间里要好好考虑我们的兴趣和志向,填好志愿。
2、做做家务
你已经是一个成年人了,独立自强,学会自理是你必须要学会的。不然日后你自己去大学让父母如何放心。同时这也是增进与父母交流的一种方式。考完了不要总觉得自己才是需要别人照顾的人,不要总觉得是如何有功,必须要别人来照顾。其实你该好好照顾照顾家了,你不是一个不懂事的孩子了。
3、锻炼身体
高考压力之下,很多同学有意无意地忽视了身体的锻炼,或体形发胖,或身体虚弱,这个时候,根据自己的喜好选择适合的健身项目不仅有益,而且必须。或者选择早晚慢跑,或者选有一些球类运动,篮球、足球、羽毛球、乒乓球、网球。或者学习游泳、跆拳道、散打。你至少得会1-2样并且能把它当做乐趣,不仅对你身体锻炼有益,甚至是大学交友,体育课都会非常有帮助。
4、在家陪陪父母
无论什么时候,父母都是我们最坚实的后盾,我们在学校读书很辛苦,父母在工作之余还要照顾我们的生活,比我们更加辛苦,高考结束这段时间,我们可以在家陪父母聊聊天,帮助父母分担一些家务,是时候让父母知道我们已经长大了,可以替他们分担生活上的重任了。
高考结束后家长该做什么
1.首先要淡定
对考生而言,成绩出来后最难过的一关是家长关,尤其是对考砸了、“发挥失常”的考生,家长的反应与态度十分重要。有时候,家长的咒骂、责备,都可能让孩子那本已难受至极的心痛上加痛,生出自暴自弃的念头来。所以,家长的淡定最重要,这一点最难做到。
2.允许孩子发泄情绪
无论是学霸还是学渣,高考都是人生一个阶段的结束,对于这一段生活都会有各种各样的情绪,正面的也好、负面的也好,都需要发泄出来,所以,如果你的孩子想大吃大喝大睡,那就不要干涉,放心,放松变成放纵毕竟不多。
3.填志愿尊重孩子的选择
分数出来,填志愿就是的一件事了,“大包大揽”和“甩手掌柜”都不好。如果将填报高考志愿比喻成一场战役的话,那么家长、亲戚朋友都只不过是“参谋”而已,战役的“司令”只有一个,那就是你的孩子——考生自己。所以,你应该做的事是积极收集信息、整理资料,为孩子做一个合格的“作战参谋”,尊重孩子的选择。
4.和孩子进行一次平等的成人对话
选择在一个比较正式的地点,比如一个环境很好的茶馆,或是饭店的一个雅间,坐下来平等融洽地和孩子做一次深刻的成人谈话,举行一个小小的成人仪式,与孩子好好地安排和规划一下。当然除了这仪式,还可以和孩子聊天,了解孩子的想法,并帮助孩子一起梳理其想法、规划,让孩子明白自己想要什么,可以怎么做,并明确自己人生发展方向。
5.让孩子学着理财
高考后,很多学生都想着给自己买东西,比如换手机、购物、吃等。家长可以给孩子一笔钱,让孩子有一个好好理财的机会。
6.给孩子一个自立的机会
毕业旅行是很多考生的选择,家长正好可以放手,让子孩子从头到尾自己规划,学会自立。不过,也要注意孩子说走就走,至少要知道孩子去了哪里。曾经有考生和小伙伴去远的地方玩几天,但是他不许家长问去哪儿,也不让家长联系他,结果远游期间正好有高校想联系学生却联系不上,考生错失录取机会。
孩子的成长就是一个与父母渐行渐远的旅程,和父母在一起共同生活的时间越来越少了,像小鸟长大就要飞到自己的天空,离开父母是一个人真正的人生开始,所以利用好孩子大学前的一点点短暂的时光,给孩子更多的爱和祝福!
孩子们陪伴父母的时间越来越少,也好好利用这个时间,再陪一陪爸爸妈妈,毕竟父母爱孩子,不是为了你在他们身边回报他们,而是为了你更好的离开他们,你人生的幸福快乐就是对父母极好的感恩!
云南省2022高考分数线一分一段表公布啦相关文章:
